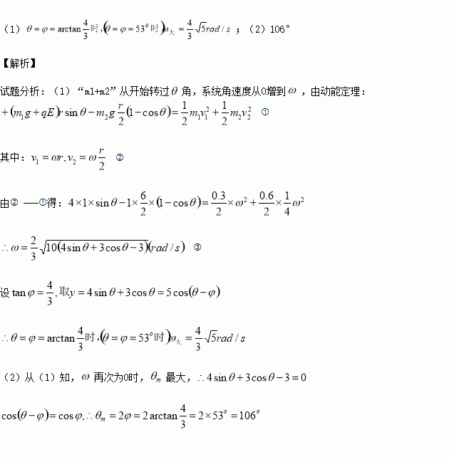
空间有竖直向下的匀强电场,电场强率E=1000v/m,重力加速度g=10m/s2.,有一个半径r=1m的轻质圆形绝缘转盘,竖直放置,圆心O为固定的光滑转轴,转盘可绕光滑O轴转动。现在圆盘边缘A处固定一个可视为质点的带电小球,其质量m1=0.3kg,电荷量q=+1
10-3C;与OA垂直的另一半径的中点B点,固定一个不带电的可视为质点的另一小球,其质量m2=0.6kg,圆盘系统从图示位置(OA水平)开始无初速释放,(可取
)求:
![]()
(1)在转动过程中转盘的最大角速度为多少?
(2)半径OA从开始无初速释放,可以顺时针转过的最大角度是多少?
科目:高中物理 来源:2015-2016学年河南许昌三校高一上期第三次联考物理卷(解析版) 题型:选择题
汽车在路段做匀加速直线运动,该段路每隔 15m 设置一盏路灯,从经过某一盏路灯开始计时,5s 后经过第二盏路灯,又过 3s 经过第三盏路灯(可将汽车视为质点),汽车运行加速度大小为( )
A.0.5m/s2 B.1m/s2 C.1.5m/s2 D.2m/s2
查看答案和解析>>
科目:高中物理 来源:2015-2016学年河北廊坊大城一中高二第一次月考物理卷(解析版) 题型:选择题
在雷雨云下沿竖直方向的电场强度为104V/m,已知一半径为1mm的雨滴在此电场中不会下落,取重力加速度大小为10m/s2,水的密度为103kg/m3.这雨滴携带的电荷量的最小值约为( )
A.2×10﹣9C B.4×10﹣9C C.6×10﹣9C D.8×10﹣9C
查看答案和解析>>
科目:高中物理 来源:2015-2016学年吉林省松原市高一期末物理卷(解析版) 题型:实验题
(1)在下列给出的器材中,选出“探究小车速度随时间变化的规律”的实验中所需的器材并填在横线上(填序号).
①打点计时器 ②天平 ③低压交流电源 ④低压直流电源 ⑤细线和纸带 ⑥钩码和小车 ⑦秒表 ⑧一端有滑轮的长木板 ⑨刻度尺
选出的器材是
(2)为了计算加速度,最合理的方法是
A.根据任意两计数点的速度用公式算出加速度
B.根据实验数据画出v﹣t图,量出其倾角θ,由公式a=tanθ求出加速度
C.根据实验数据画出v﹣t图,由图线上相距较远的两点所对应的速度、时间,用公式a=
算出加速度
D.依次算出通过连续两计数点间的加速度,算出平均值作为小车的加速度.
查看答案和解析>>
科目:高中物理 来源:2016届安徽六安一中高三上期月考物理卷(解析版) 题型:计算题
物体A的质量为mA,圆环B的质量为mB,通过绳子连接在一起,圆环套在光滑的竖直杆上,开始时连接圆环的绳子处于水平,如图所示,长度l=4 m,现从静止释放圆环.不计定滑轮和空气的阻力,取g=10 m/s2,求:
![]()
(1)若
,则圆环能下降的最大距离hm;
(2)若圆环下降h2=3 m时的速度大小为4 m/s,则两个物体的质量应满足怎样的关系?
(3)若
,请定性说明小环下降过程中速度大小变化的情况及其理由。
查看答案和解析>>
科目:高中物理 来源:2016届贵州贵阳六中高三元月月考物理卷(解析版) 题型:实验题
某同学设计了如图甲所示的装置来探究小车的加速度与所受合力的关系,将装有力传感器的小车放置于水平长木板上,缓慢向小桶中加入细砂,直到小车开始运动为止,记下传感器的最大示数
,以此表示小车所受摩擦力的大小,再将小车放回原处并按住,继续向小桶中加入细砂,记下传感器的示数
。
![]()
(1)接通频率为50Hz的交流电源,释放小车,打出如图乙所示的纸带,从比较清晰的点起,每5个点取一个计数点,量处相邻计数点之间的距离,则小车加速度a=_________
(保留两位有效数字);
(2)改变小桶中砂的重力,多次重复实验,记下小车加速运动时传感器的示数
,获得多组数据,描绘小车加速度a与合力F(
)的关系图像,不计纸带与计时器间的摩擦,下列图像中正确的是_____。
![]()
(3)同一实验中,小车加速度运动时传感器示数
与小车释放前传感器示数
的关系是
____
(选填“>”“=”“<”)。
(4)关于该实验,下列说法中正确的是
A.小车和传感器的总质量应远大于小桶和细砂的总质量
B.实验中需要将长木板右端垫高
C.实验中需要测出小车和传感器的总质量
D.用加砂的方法改变拉力的大小与挂钩码的方法相比,可更方便地获取多组实验数据
查看答案和解析>>
科目:高中物理 来源:2015-2016学年福建上杭县一中高一上期月考物理卷(解析版) 题型:计算题
滑板运动是一项非常刺激的水上运动(如图所示),研究表明,在进行滑板运动时,水对滑板的作用力N垂直于板面,大小为
,其中v为滑板速率(水可视为静止)。某次运动中,在水平牵引力F作用下,当滑板和水面的夹角
=37°时,滑板做匀速直线运动,相应的k=40kg/m,人和滑板的总质量为80kg,(重力加速度
,sin37°=0.6,忽略空气阻力)。试求:
![]()
(1)水平牵引力F的大小;
(2)滑板的速率v=?
查看答案和解析>>
科目:高中物理 来源:2016届江西南昌二中高三上期考试物理卷(解析版) 题型:计算题
如图所示,在光滑绝缘的水平面上,放置两块直径为2L的同心半圆形金属板A、B,两板间的距离很近,半圆形金属板A、B的左边有水平向右的匀强电场E1,半圆形金属板A、B之间存在电场,两板间的电场强度E2可认为大小处处相等,方向都指向O,现从正对A、B板间隙、到两板的一端距离为d处静止释放一个质量为m、电荷量为q的带正电微粒(不计重力),此微粒恰能在两板间运动且不与板发生相互作用.
![]()
(1)求半圆形金属板A、B之间电场强度的E2的大小?
(2)从释放微粒开始,经过多长时间微粒的水平位移最大?
查看答案和解析>>
科目:高中物理 来源:2015-2016学年内蒙古赤峰市宁城县高二上学期期末考试物理卷(解析版) 题型:选择题
用电器距离电源L,线路上的电流为I,为使在线路上的电压降低值不超过U,已知输电线的电阻率为ρ.那么,输电线的横截面积的最小值是( )
A.
B.
C.
D. ![]()
查看答案和解析>>
湖北省互联网违法和不良信息举报平台 | 网上有害信息举报专区 | 电信诈骗举报专区 | 涉历史虚无主义有害信息举报专区 | 涉企侵权举报专区
违法和不良信息举报电话:027-86699610 举报邮箱:58377363@163.com