精英家教网 > 高中物理 > 题目详情

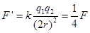
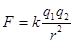
真空中两个点电荷相距时,静电力为,如果保持它们的电量不变,而将距离增大为时,则静电力将变为

A.B.C.D.

A

解析试题分析::根据公式可得,当它们之间的距离增大到2R时,,所以A正确,
考点:本题考查了对库伦定律的应用
点评:关键是区分公式中那些量变化了,哪些量没有变化

练习册系列答案
相关习题

科目:高中物理 来源: 题型:

真空中两个点电荷相距r时,库仑力为F,如果电量都变为原来2倍,距离变为原来一半,则二者之间的库仑力将变为(  )

查看答案和解析>>

科目:高中物理 来源: 题型:

(2012?丰台区模拟)真空中两个点电荷相距r时,库仑力为F,如果保持它们的电量不变,而将距离增大为2r,则二者之间的库仑力将变为(  )

查看答案和解析>>

科目:高中物理 来源: 题型:

真空中两个点电荷相距R,它们之间的相互作用力为F,如果将它们之间距离增大到2R,它们之间的作用力变为(  )

查看答案和解析>>

科目:高中物理 来源: 题型:

真空中两个点电荷相距R时,相互作用的库仑力为F,当点电荷间距离变为3R时,相互作用的库仑力为(  )
A、F
B、3F
C、
F
3
D、
F
9

查看答案和解析>>

科目:高中物理 来源: 题型:

真空中两个点电荷相距r时,库仑力为F,如果保持它们的电量不变,而将距离增大为2r,则二者之间的库仑力将变为多大?

查看答案和解析>>

同步练习册答案