精英家教网 > 高中物理 > 题目详情

已知电子的电荷量为e,质量为m,氢原子的电子在原子核的静电力吸引下做半径为r的匀速圆周运动,则电子运动形成的等效电流大小为多少?


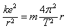
解:截取电子运动轨道的任一截面,在电子运动一周的时间T内,通过这个横截面的电荷量q=e,则有:
  ① 
再由库仑力提供向心力,有:
 ② 
由①②解得:


练习册系列答案
相关习题

科目:高中物理 来源: 题型:


如图所示,实线表示在竖直平面内的匀强电场的电场线,电场线与水平方向的夹角为α,水平方向的匀强磁场与电场线正交,有一带电液滴沿斜向上的虚线l做直线运动.l与水平方向的夹角为β,且α>β,则下列说法中正确的是(  )

A.液滴一定做匀速直线运动

B.液滴一定带正电

C.电场线方向一定斜向上

D.液滴也有可能做匀变速直线运动

查看答案和解析>>

科目:高中物理 来源: 题型:


小灯泡通电后其电流I随所加电压U变化的图线如图7-1-4所示,P为图线上一点,PN为图线的切线,PQ为横轴的垂线,PM为纵轴的垂线.则下列说法中错误的是                         (  ).

A.随着所加电压的增大,小灯泡的电阻增大

B.对应P点,小灯泡的电阻为R

C.对应P点,小灯泡的电阻为R

D.对应P点,小灯泡的功率为图中矩形PQOM所围的面积

查看答案和解析>>

科目:高中物理 来源: 题型:


图3中实线表示电场线,虚线表示等势面,过a.b两点的等势面的电势分别为40V、20V,那么ab连线的中点的电势值为(   )

A 等于30V          B 小于30V

C 大于30V          D 无法确定 

                                       

查看答案和解析>>

科目:高中物理 来源: 题型:


一带电粒子从两平行金属板左侧中央平行于极板飞入匀强电场,且恰能从右侧极板边缘飞出,若粒子初动能增大一倍,要使它仍从右侧边缘飞出,则应 (      )

A.将极板长度变为原来的2倍

B、将极板长度变为原来的√2倍

C. 将极板电压减为原来的一半

D.将极板电压增大到原来的2倍

查看答案和解析>>

科目:高中物理 来源: 题型:


如图所示,质量为M、倾角为的斜面体置于光滑水平地面上,要使原来与斜面接触的质量为m的小球做自由落体运动,则向右拖斜面体的水平力F的大小至少为

               D.Mgsinθ

查看答案和解析>>

科目:高中物理 来源: 题型:


 如图所示,两块竖直放置的足够长的平行金属板A、B,板距d=0.04m,两板间的电压U=400V,板间有一匀强电场.在A、B两板上端连线的中点Q的正上方,距Q为h=1.25m的P点处有一带正电小球,已知小球的质量m=5×10-6kg,电荷量q=5×10-8C.设A、B板长度无限,g取10m/s2.试求:

(1)带正电小球从P点开始由静止下落,经多长时间和金属板相碰?

(2)相碰时,离金属板上端的距离多大?

 

查看答案和解析>>

科目:高中物理 来源: 题型:


以下关于动能和动量的关系正确的是(   )

A.物体的动能改变,其动量也一定改变。 B.物体的动量改变,则其动能一定改变。

C.动能是矢量,动量是标量。           D.物体的速度不变,则其动量不变,动能也不变。

查看答案和解析>>

科目:高中物理 来源: 题型:


一质点做匀加速直线运动,初速度为10m/s ,加速度为2m/s2。试求该质点:

(1)第5s末的速度大小;

(2)前5s内的位移大小;

查看答案和解析>>

同步练习册答案