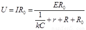
¾Æ¾«²âÊÔÒÇÓÃÓÚ»ú¶¯³µ¼ÝÊ»ÈËÔ±ÊÇ·ñÐï¾Æ¼°ÆäËûÑϽû¾Æºó×÷ÒµÈËÔ±µÄÏÖ³¡¼ì²â£®ËüÀûÓõÄÊÇÒ»ÖÖ¶þÑõ»¯Îý°ëµ¼ÌåÐ;ƾ«ÆøÌå´«¸ÐÆ÷£¬¾Æ¾«ÆøÌå´«¸ÐÆ÷µÄµç×èËæ¾Æ¾«ÆøÌåŨ¶ÈµÄ±ä»¯¶ø±ä»¯£¬ÔÚÈçͼËùʾµÄµç·ÖУ¬²»Í¬µÄ¾Æ¾«ÆøÌåŨ¶È¶ÔÓ¦×Å´«¸ÐÆ÷µÄ²»Í¬µç×裮ÕâÑù£¬µçѹ±íµÄÖ¸Õë¾ÍÓë¾Æ¾«ÆøÌåŨ¶ÈÓÐÁ˶ÔÓ¦¹ØÏµ£®Èç¹û¶þÑõ»¯Îý°ëµ¼ÌåÐ;ƾ«ÆøÌå´«¸ÐÆ÷µç×èµÄµ¹ÊýÓë¾Æ¾«ÆøÌåµÄŨ¶È³ÉÕý±È£¬ÄÇô£¬µçѹ±íʾÊýUÓë¾Æ¾«ÆøÌåŨ¶ÈCÖ®¼äµÄ¶ÔÓ¦¹ØÏµÕýÈ·µÄÊÇ

A¡¢UÔ½´ó£¬±íʾCÔ½´ó£¬CÓëU³ÉÕý±È

B¡¢UÔ½´ó£®±íʾCÔ½´ó£¬µ«ÊÇCÓëU²»³ÉÕý±È

C¡¢UÔ½´ó£¬±íʾCԽС£¬CÓëU³É·´±È

D¡¢UÔ½´ó£¬±íʾCԽС£¬µ«ÊÇCÓëU²»³É·´±È

 

¡¾´ð°¸¡¿

B

¡¾½âÎö¡¿

ÊÔÌâ·ÖÎö£º¾Æ¾«ÆøÌå´«¸ÐÆ÷µç×èµÄµ¹ÊýÓë¾Æ¾«ÆøÌåµÄŨ¶È³ÉÕý±È£¬ÔòÓУ¬Ò²¾ÍÊDZÈÀýϵÊýΪk,¼´£¬¸ù¾Ý±ÕºÏµçÁ÷Å·Ä·¶¨ÂÉÎÒÃÇ¿ÉÒÔÅжϣ¬¶¨Öµµç×èÁ½¶ËµçѹҲ¾ÍÊǵçѹ±í¶ÁÊý,¾Ý´Ë±í´ïʽÎÒÃÇ¿ÉÒÔÅж¨Å¨¶ÈCÔ½´ó£¬µçѹUÔ½¸ß£¬µ«ÊǶþÕ߼Ȳ»³ÉÕý±ÈÒ²²»³É·´±È¡£´ð°¸B¶Ô¡£

¿¼µã£º±ÕºÏ»ØÂ·Å·Ä·¶¨ÂÉ

 

Á·Ï°²áϵÁдð°¸
Ïà¹ØÏ°Ìâ

¿ÆÄ¿£º¸ßÖÐÎïÀí À´Ô´£º ÌâÐÍ£º

£¨2011?ɽÎ÷Ä£Ä⣩¾Æ¾«²âÊÔÒÇÓÃÓÚ»ú¶¯³µ¼ÝÊ»ÈËÔ±ÊÇ·ñÐï¾Æ¼°ÆäËûÑϽû¾Æºó×÷ÒµÈËÔ±µÄÏÖ³¡¼ì²â£®ËüÀûÓõÄÊÇÒ»ÖÖ¶þÑõ»¯Îý°ëµ¼ÌåÐ;ƾ«ÆøÌå´«¸ÐÆ÷£¬¾Æ¾«ÆøÌå´«¸ÐÆ÷µÄµç×èËæ¾Æ¾«ÆøÌåŨ¶ÈµÄ±ä»¯¶ø±ä»¯£¬ÔÚÈçͼËùʾµÄµç·ÖУ¬²»Í¬µÄ¾Æ¾«ÆøÌåŨ¶È¶ÔÓ¦×Å´«¸ÐÆ÷µÄ²»Í¬µç×裮ÕâÑù£¬µçѹ±íµÄÖ¸Õë¾ÍÓë¾Æ¾«ÆøÌåŨ¶ÈÓÐÁ˶ÔÓ¦¹ØÏµ£®Èç¹û¶þÑõ»¯Îý°ëµ¼ÌåÐ;ƾ«ÆøÌå´«¸ÐÆ÷µç×èµÄµ¹ÊýÓë¾Æ¾«ÆøÌåµÄŨ¶È³ÉÕý±È£¬ÄÇô£¬µçѹ±íʾÊýUÓë¾Æ¾«ÆøÌåŨ¶ÈCÖ®¼äµÄ¶ÔÓ¦¹ØÏµÕýÈ·µÄÊÇ£¨¡¡¡¡£©

²é¿´´ð°¸ºÍ½âÎö>>

¿ÆÄ¿£º¸ßÖÐÎïÀí À´Ô´£º ÌâÐÍ£º

¾«Ó¢¼Ò½ÌÍø¾Æ¾«²âÊÔÒÇÓÃÓÚ»ú¶¯³µ¼ÝÊ»ÈËÔ±ÊÇ·ñÐï¾Æ¼°ÆäËûÑϽû¾Æºó×÷ÒµÈËÔ±µÄÏÖ³¡¼ì²â£®ËüÀûÓõÄÊÇÒ»ÖÖ¶þÑõ»¯Îý°ëµ¼ÌåÐ;ƾ«ÆøÌå´«¸ÐÆ÷£¬¾Æ¾«ÆøÌå´«¸ÐÆ÷µÄµç×èËæ¾Æ¾«ÆøÌåŨ¶ÈµÄ±ä»¯¶ø±ä»¯£®ÔÚÈçͼËùʾµÄµç·ÖУ¬²»Í¬µÄ¾Æ¾«ÆøÌåŨ¶È¶ÔÓ¦×Å´«¸ÐÆ÷µÄ²»Í¬µç×裮ÕâÑù£¬µçѹ±íµÄÖ¸Õë¾ÍÓë¾Æ¾«ÆøÌåŨ¶ÈÓÐÁ˶ÔÓ¦¹ØÏµ£®Èç¹û¶þÑõ»¯Îý°ëµ¼ÌåÐ;ƾ«ÆøÌå´«¸ÐÆ÷µç×èµÄµ¹ÊýÓë¾Æ¾«ÆøÌåµÄŨ¶È³ÉÕý±È£¬ÄÇô£¬µçѹ±íʾÊýUÓë¾Æ¾«ÆøÌåŨ¶ÈCÖ®¼äµÄ¶ÔÓ¦¹ØÏµUÔ½´ó£¬±íʾC
 
£¨Ô½´ó¡¢Ô½Ð¡£©£¬CÓëU
 
£¨³ÉÕýÀý¡¢²»³ÉÕý±È£©£®

²é¿´´ð°¸ºÍ½âÎö>>

¿ÆÄ¿£º¸ßÖÐÎïÀí À´Ô´£º2013-2014Õã½­Äþ²¨½ðÀ¼ºÏ×÷×éÖ¯¸ß¶þÉÏÆÚÖÐÁª¿¼ÎïÀíÊÔ¾í£¨½âÎö°æ£© ÌâÐÍ£ºÑ¡ÔñÌâ

¾Æ¾«²âÊÔÒÇÓÃÓÚ»ú¶¯³µ¼ÝÊ»ÈËÔ±ÊÇ·ñÐï¾Æ¼°ÆäËûÑϽû¾Æºó×÷ÒµÈËÔ±µÄÏÖ³¡¼ì²â¡£ËüÊÇÒ»ÖÖ¶þÑõ»¯Îý°ëµ¼ÌåÐ;ƾ«ÆøÌå´«¸ÐÆ÷£¬¾Æ¾«ÆøÌå´«¸ÐÆ÷µÄµç×èËæ¾Æ¾«ÆøÌåŨ¶ÈµÄ±ä»¯¶ø±ä»¯£¬ÔÚÈçͼ4ËùʾµÄµç·ÖÐY±íʾ½ÓÈëµç·Öеľƾ«ÆøÌå´«¸ÐÆ÷£¬²»Í¬µÄ¾Æ¾«ÆøÌåŨ¶È¶ÔÓ¦×Å´«¸ÐÆ÷µÄ²»Í¬µç×裬ÕâÑù£¬µçѹ±íµÄÖ¸Õë¾ÍÓë¾Æ¾«ÆøÌåŨ¶ÈÓÐÁ˶ÔÓ¦¹ØÏµ¡£Èç¹û¶þÑõ»¯Îý°ëµ¼ÌåÐ;ƾ«ÆøÌå´«¸ÐÆ÷µÄµç×èÓë¾Æ¾«ÆøÌåµÄŨ¶È³É·´±È£¬ÄÇô£¬µçѹ±íʾÊýUÓë¾Æ¾«ÆøÌåŨ¶ÈcÖ®¼äµÄ¶ÔÓ¦¹ØÏµÕýÈ·µÄÊÇ£¨    £©

A£®UÔ½´ó£¬±íʾcÔ½´ó£¬cÓëU³ÉÕý±È

B£®UÔ½´ó£¬±íʾcÔ½´ó£¬µ«ÊÇcÓëU²»³ÉÕý±È

C£® UÔ½´ó£¬±íʾcԽС£¬cÓëU³É·´±È

D£®UÔ½´ó£¬±íʾcԽС£¬µ«ÊÇcÓëU²»³É·´±È

 

²é¿´´ð°¸ºÍ½âÎö>>

¿ÆÄ¿£º¸ßÖÐÎïÀí À´Ô´£º2010-2011ѧÄêËÄ´¨Ê¡¸ßÈýµÚ¶þ´ÎÕï¶ÏÐÔÄ£Äâ¼ì²â£¨Àí×Û£©ÎïÀí²¿·Ö ÌâÐÍ£ºÑ¡ÔñÌâ

¾Æ¾«²âÊÔÒÇÓÃÓÚ»ú¶¯³µ¼ÝÊ»ÈËÔ±ÊÇ·ñÐï¾Æ¼°ÆäËûÑϽû¾Æºó×÷ÒµÈËÔ±µÄÏÖ³¡¼ì²â¡£ËüÀûÓõÄÊÇÒ»ÖÖ¶þÑõ»¯Îý°ëµ¼ÌåÐ;ƾ«ÆøÌå´«¸ÐÆ÷£¬¾Æ¾«ÆøÌå´«¸ÐÆ÷µÄµç×èËæ¾Æ¾«ÆøÌåŨ¶ÈµÄ±ä»¯¶ø±ä»¯£¬ÔÚÈçͼËùʾµÄµç·ÖУ¬²»Í¬µÄ¾Æ¾«ÆøÌåŨ¶È¶ÔÓ¦×Å´«¸ÐÆ÷µÄ²»Í¬µç×裮ÕâÑù£¬µçѹ±íµÄÖ¸Õë¾ÍÓë¾Æ¾«ÆøÌåŨ¶ÈÓÐÁ˶ÔÓ¦¹ØÏµ¡£Èç¹û¶þÑõ»¯Îý°ëµ¼ÌåÐ;ƾ«ÆøÌå´«¸ÐÆ÷µç×èµÄµ¹ÊýÓë¾Æ¾«ÆøÌåµÄŨ¶È³ÉÕý±È£¬ÄÇô£¬µçѹ±íʾÊýUÓë¾Æ¾«ÆøÌåŨ¶ÈCÖ®¼äµÄ¶ÔÓ¦¹ØÏµÕýÈ·µÄÊÇ

A£®UÔ½´ó£¬±íʾCÔ½´ó£¬CÓëU£¬³ÉÕý±È

B£®UÔ½´ó£®±íʾCÔ½´ó£¬µ«ÊÇCÓëU²»³ÉÕý±È

C£®UÔ½´ó£¬±íʾCԽС£¬CÓëU£¬³É·´±È

D£®UÔ½´ó£¬±íʾCԽС£¬µ«ÊÇCÓëU£¬²»³É·´±È

 

²é¿´´ð°¸ºÍ½âÎö>>

¿ÆÄ¿£º¸ßÖÐÎïÀí À´Ô´£º2010ÄêºÚÁú½­Ê¡¹þ¶û±õÊиßÈýµÚÈý´Î¸ß¿¼Ä£Ä⿼ÊÔ£¨Àí×Û£©ÎïÀí²¿·Ö ÌâÐÍ£ºÑ¡ÔñÌâ

¾Æ¾«²âÊÔÒÇÓÃÓÚ»ú¶¯³µ¼ÝÊ»ÈËÔ±ÊÇ·ñÐï¾Æ¼°ÆäËûÑϽû¾Æºó×÷ÒµÈËÔ±µÄÏÖ³¡¼ì²â¡£ËüÀûÓõÄÊÇÒ»ÖÖ¶þÑõ»¯Îý°ëµ¼ÌåÐ;ƾ«ÆøÌå´«¸ÐÆ÷£¬¾Æ¾«ÆøÌå´«¸ÐÆ÷µÄµç×èËæ¾Æ¾«ÆøÌåŨ¶ÈµÄ±ä»¯¶ø±ä»¯£¬ÔÚÈçͼËùʾµÄµç·ÖУ¬²»Í¬µÄ¾Æ¾«ÆøÌåŨ¶È¶ÔÓ¦×Å´«¸ÐÆ÷µÄ²»Í¬µç×裬ÕâÑù£¬µçѹ±íµÄÖ¸Õë¾ÍÓë¾Æ¾«ÆøÌåŨ¶ÈÓÐÁ˶ÔÓ¦¹ØÏµ¡£Èç¹û¶þÑõ»¯Îý°ëµ¼ÌåÐ;ƾ«ÆøÌå´«¸ÐÆ÷µç×èµÄµ¹ÊýÓë¾Æ¾«ÆøÌåµÄŨ¶È³ÉÕý±È£¬ÄÇô£¬µçѹ±íʾÊýUÓë¾Æ¾«ÆøÌåŨ¶ÈcÖ®¼äµÄ¶ÔÓ¦¹ØÏµÕýÈ·µÄÊÇ

A£®UÔ½´ó£¬±íʾcÔ½´ó£¬cÓëU³ÉÕý±È

B£®UÔ½´ó£¬±íʾcÔ½´ó£¬µ«ÊÇcÓëU²»³ÉÕý±È

C£®UÔ½´ó£¬±íʾcԽС£¬cÓëU³É·´±È

D£®UÔ½´ó£¬±íʾcԽС£¬µ«ÊÇcÓëU²»³É·´±È

 

²é¿´´ð°¸ºÍ½âÎö>>

ͬ²½Á·Ï°²á´ð°¸