精英家教网 > 高中物理 > 题目详情
如图,一质量为M的物块静止在桌面边缘,桌面离水平地面的高度为h。一质量为m的子弹以水平速度v0射人物块后,以水平速度v0/2射出。重力加速度为g。求:
(1)此过程中系统损失的机械能;
(2)此后物块落地点离桌面边缘的水平距离。
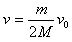
解:(1)设子弹穿过物块后物块的速度为v,由动量守恒得
 ①
解得
系统的机械能损失为
由②③式得
(2)设物块下落到地面所需时间为t,落地点距桌面边缘的水平距离为s,则
 ⑤
s=vt ⑥
由②⑤⑥式得
练习册系列答案
相关习题

科目:高中物理 来源: 题型:

如图,一质量为M的物块被两竖直板用力F夹住,物与板间的摩擦系数为μ,要使物块匀速向上运动而两竖直板不动,向上拉物块的力最小为
Mg+2?F
Mg+2?F
.若要使物块匀速向下运动而两竖直板不动,向下拉物块的力最小为
2?F-Mg
2?F-Mg

查看答案和解析>>

科目:高中物理 来源: 题型:

如图,一质量为M的物块静止在桌面边缘,桌面离水平地面高度为h,质量为m的子弹以水平速度v0射入物块后,以水平速度
v02
射出物块.重力加速度为g.求:
(1)此过程中损失的机械能;
(2)此后物块落地点离桌面边缘的水平距离.

查看答案和解析>>

科目:高中物理 来源: 题型:

如图,一质量为M的物块静止在光滑水平桌面的边缘,桌面离水平面的高度为h,一质量为m的子弹以水平速度v0射入物块后,以水平速度v0/2射出,重力加速度为g.已知M=3m,求:
(1)此过程中系统损失的机械能;
(2)此后物块落地点离桌面边缘的水平距离.

查看答案和解析>>

科目:高中物理 来源: 题型:

如图:一质量为M的物块被两竖直板用力F夹住,物与板间的摩擦系数为μ,要使物块匀速向上运动而两竖直板不动,向上拉物块的力为
Mg+2?F
Mg+2?F
.要使物块匀速向下运动而两竖直板不动,向下拉物块的力为
2?F-Mg
2?F-Mg

查看答案和解析>>

科目:高中物理 来源: 题型:

精英家教网如图,一质量为M的物块静止在桌面边缘,桌面离水平地面的高度为h.一质量为m的子弹以水平速度v0射入物块后,以水平速度v0/2 射出.重力加速度为g.求:
(1)子弹穿出木块时木块的速度大小;
(2)此过程中系统损失的机械能;
(3)此后物块落地点离桌面边缘的水平距离.

查看答案和解析>>

同步练习册答案