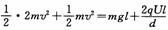
£¨18·Ö£©£¨18·Ö£©ÈçͼËùʾ£¬Ë®Æ½·ÅÖÃµÄÆ½ÐнðÊô°åµÄN°å½ÓµØ£¬M°åµçÊÆÎª+U£¬Á½°å¼ä¾àÀëΪd£¬d±ÈÁ½°åµÄ³ß´çСºÜ¶à£¬ÔÚÁ½°åÖ®¼äÓÐÒ»³¤Îª2lµÄ¾øÔµÇá¸Ë£¬¿ÉÈÆ¸ËµÄˮƽ¹Ì¶¨ÖáOÔÚÊúÖ±ÃæÄÚÎÞĦ²ÁµØ×ª¶¯£¬OΪ¸ËµÄÖе㡣¸ËµÄÁ½¶Ë·Ö±ðÁ¬×ÅСÇòAºÍB£¬ËüÃǵÄÖÊÁ¿·Ö±ðΪ2mºÍm£¬ËüÃǵĴøµçÁ¿·Ö±ðΪ+qºÍ-q¡£µ±¸ËÓÉͼʾˮƽλÖôӾ²Ö¹¿ªÊ¼×ª¹ý900µ½ÊúֱλÖÃʱ£¬ÒÑÖªÖØÁ¦¼ÓËÙ¶ÈΪg£¬Çó£º

£¨1£©Á½ÇòµÄµçÊÆÄܵı仯£»

£¨2£©Á½ÇòµÄ×ܶ¯ÄÜ£»

£¨3£©¸Ë¶ÔAÇòµÄ×÷ÓÃÁ¦¡£

£¨18·Ö£©

½â£º£¨1£©µç³¡Öеij¡Ç¿Îª£ºE=U/d         £¨2·Ö£©

µç³¡Á¦¶ÔÁ½Çò×öµÄ¹¦Îª£º        £¨2·Ö£©

µçÊÆÄܵļõСÁ¿Îª£º                £¨2·Ö£©

£¨2£©Á½Çò¼õÉÙµÄÖØÁ¦ÊÆÄÜ£ºWG=mgl             £¨2·Ö£©

ÓÉÄÜÁ¿×ª»¯ÓëÊØºã¶¨Âɵã¬ÓУºWG+WE= Ek              £¨2·Ö£©

½âµÃ£º                          £¨2·Ö£©

£¨3£©¸ù¾Ý£¨2£©ÎÊ£¬ÓУº     £¨2·Ö£©

AÇòÔÚ×îµÍµã£¬ÓÉÅ£¶ÙµÚ¶þ¶¨ÂÉ£¬ÓУº

       £¨2·Ö£©

½âµÃ£º    £¨2·Ö£©

Á·Ï°²áϵÁдð°¸
Ïà¹ØÏ°Ìâ

¿ÆÄ¿£º¸ßÖÐÎïÀí À´Ô´£º ÌâÐÍ£º

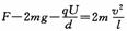
ÈçͼËùʾ£¬Ë®Æ½·ÅÖÃµÄÆ½ÐнðÊô°åA¡¢B¼ä¾àΪd£¬´øµçÁ£×ӵĵçºÉÁ¿Îªq£¬ÖÊÁ¿Îªm£¬Á£×ÓÒÔËÙ¶Èv´ÓÁ½¼«°åÖÐÑ봦ˮƽ·ÉÈëÁ½¼«°å¼ä£¬µ±Á½°åÉϲ»¼Óµçѹʱ£¬Á£×ÓÇ¡´ÓϰåµÄ±ßÔµ·É³ö£®ÏÖ¸øAB¼ÓÉÏÒ»µçѹ£¬ÔòÁ£×ÓÇ¡ºÃ´ÓÉϼ«°å±ßÔµ·É³öÇ󣺣¨1£©Á½¼«°å¼äËù¼ÓµçѹU£»£¨2£©½ðÊô°åµÄ³¤¶ÈL£®

²é¿´´ð°¸ºÍ½âÎö>>

¿ÆÄ¿£º¸ßÖÐÎïÀí À´Ô´£º ÌâÐÍ£º

ÈçͼËùʾ£¬Ë®Æ½·ÅÖõľØÐÎÏßȦabcdµÄÃæ»ýΪS£¬´¦ÓÚÊúÖ±ÏòϵĴŸÐӦǿ¶ÈΪBµÄÔÈÇ¿´Å³¡ÄÚ£¬Ôò´©¹ý¾ØÐÎÏßȦµÄ´ÅͨÁ¿ÊÇ
BS
BS
£¬µ±ÏßÈ¦ÈÆab±ßת¹ý90¡ãʱ£¬´©¹ýËüµÄ´ÅͨÁ¿Îª
0
0
£®

²é¿´´ð°¸ºÍ½âÎö>>

¿ÆÄ¿£º¸ßÖÐÎïÀí À´Ô´£º ÌâÐÍ£º

¾«Ó¢¼Ò½ÌÍøÈçͼËùʾ£¬Ë®Æ½·ÅÖõİ×É«µÄ´«ËÍ´øÒÔËÙ¶Èv=6m/sÏòÓÒÔÈËÙÔËÐУ¬ÏÖ½«Ò»Ð¡Ãº¿éÇáÇáµØ·ÅÔÚ´«ËÍ´øA¶Ë£¬ÎïÌåÓë´«ËÍ´ø¼äµÄ¶¯Ä¦²ÁÒòÊý¦Ì=0.1£¬ÈôA¶ËÓëB¶ËÏà¾à30m£¬Ôò£¨g=10m/s2£©£¨¡¡¡¡£©
A¡¢Ð¡Ãº¿éÏÈ×÷ÔȼÓËÙÖ±ÏßÔ˶¯£¬ºó×÷ÔÈËÙÖ±ÏßÔ˶¯B¡¢Ð¡Ãº¿éÒ»Ö±×÷ÔȼÓËÙÖ±ÏßÔ˶¯C¡¢È«¹ý³ÌÖУ¬Ð¡Ãº¿éÏÈÊܵ½ÏòÓҵϬ¶¯Ä¦²ÁÁ¦£¬ºó²»ÊÜĦ²ÁÁ¦×÷ÓÃD¡¢È«¹ý³ÌÖУ¬Ð¡Ãº¿éÏÈÊܵ½ÏòÓҵϬ¶¯Ä¦²ÁÁ¦£¬ºóÊܵ½ÏòÓҵľ²Ä¦²ÁÁ¦×÷ÓÃ

²é¿´´ð°¸ºÍ½âÎö>>

¿ÆÄ¿£º¸ßÖÐÎïÀí À´Ô´£º ÌâÐÍ£º

¾«Ó¢¼Ò½ÌÍøÈçͼËùʾ£¬Ë®Æ½·ÅÖõÄÁ½¿é³¤Ö±Æ½ÐнðÊô°åa¡¢bÏà¾àd=0.10m£¬a¡¢b¼äµÄµç³¡Ç¿¶ÈΪE=5.0¡Á105N/C£¬b°åÏ·½Õû¸ö¿Õ¼ä´æÔÚ×ŴŸÐӦǿ¶È´óСΪB=6.0T¡¢·½Ïò´¹Ö±Ö½ÃæÏòÀïµÄÔÈÇ¿´Å³¡£®½ñÓÐÒ»ÖÊÁ¿Îªm=4.8¡Á10-25kg¡¢µçºÉÁ¿Îªq=1.6¡Á10?18CµÄ´øÕýµçµÄÁ£×Ó£¨²»¼ÆÖØÁ¦£©£¬´ÓÌù½üa°åµÄ×ó¶ËÒÔ¦Ô0=1.0¡Á106m/sµÄ³õËÙ¶ÈˮƽÉäÈëÔÈÇ¿µç³¡£¬¸ÕºÃ´ÓÏÁ·ìP´©¹ýb°å¶ø´¹Ö±½øÈëÔÈÇ¿´Å³¡£¬×îºóÁ£×ӻص½±ß½çbµÄQ£¨Í¼ÖÐδ±ê³ö£©´¦£®ÊÔÇó
£¨1£©Á£×Ó´©¹ýÏÁ·ìPʱµÄËٶȦԼ°ÆäÓëb°åµÄ¼Ð½Ç¦È£®
£¨2£©P¡¢QÖ®¼äµÄ¾àÀëL£®

²é¿´´ð°¸ºÍ½âÎö>>

¿ÆÄ¿£º¸ßÖÐÎïÀí À´Ô´£º ÌâÐÍ£º

¾«Ó¢¼Ò½ÌÍøÈçͼËùʾ£¬Ë®Æ½·ÅÖÃµÄÆ½ÐаåµçÈÝÆ÷£¬Ô­À´ABÁ½°å²»´øµç£¬B¼«°å½ÓµØ£¬ËüµÄ¼«°å³¤L=0.1m£¬Á½°å¼ä¾àÀëd=0.4¡Á10-2m£¬ÏÖÓÐһ΢Á£ÖÊÁ¿m=2.0¡Á10-6kg£¬´øµçÁ¿q=+1.0¡Á10-8C£¬ÒÔÒ»¶¨³õËÙ¶È´ÓÁ½°åÖÐÑëÆ½ÐÐÓÚ¼«°åÉäÈ룬ÓÉÓÚÖØÁ¦×÷ÓÃ΢Á£Ç¡ºÃÄÜÂäµ½A°åÉÏÖеãO´¦£¬²»·´µ¯£®ºöÂÔÆ½ÐаåµçÈÝÆ÷µÄ±ßԵЧӦ£¬È¡g=10m/s2£®ÊÔÇó£º
£¨1£©´øµçÁ£×ÓÈëÉä³õËٶȵĴóС£»
£¨2£©ÏÖʹµçÈÝÆ÷´øÉϵçºÉ£¬Ê¹´øµç΢Á£ÄÜ´ÓÆ½ÐаåµçÈÝÆ÷µÄÓÒ²àÉä³ö£¬ÇÒ²»Åö°å£®Ôò´øµçºóA°åµÄµçÊÆÓ¦Âú×ãʲôÌõ¼þ£¿

²é¿´´ð°¸ºÍ½âÎö>>

ͬ²½Á·Ï°²á´ð°¸