精英家教网 > 高中物理 > 题目详情
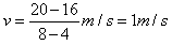
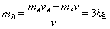
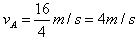
如图甲所示,光滑水平面上有A、B两物块,已知A物块的质量mA=1kg。初始时刻B静止,A以一定的初速度向右运动,之后与B发生碰撞并一起运动,它们的位移-时间图象如图乙所示(规定向右为位移的正方向),则物体B的质量为多少?

解:根据公式,由图可知
撞前
撞后
则由
解得
练习册系列答案
相关习题

科目:高中物理 来源: 题型:

如图甲所示,光滑水平面上停放着一辆上表面粗糙的平板车,一小金属块以水平速度v0滑到平板车上,在0~t0时间内它们的速度随时间变化的图象如图乙所示,求:
(1)小金属块与平板车的质量之比
mM

(2)小金属块与平板车上表面间的动摩擦因数;
(3)若小金属块刚好没滑离平板车,则平板车的长度为多少.

查看答案和解析>>

科目:高中物理 来源: 题型:

如图甲所示,光滑水平面上A、B两点相距xAB=13m,一个质量m=1.0kg的小滑块在水平推力的作用下沿水平面自左向右滑动,所受水平推力按图乙所示的规律变化,求:
(1)滑块在t=3.0s末距A点的距离;
(2)滑块到达B点时速度的大小.

查看答案和解析>>

科目:高中物理 来源: 题型:

如图甲所示,光滑水平面上停放着一辆上表面粗糙的平板车,一小金属块以水平速度v0滑到平板车上,在0~t0时间内它们的速度随时间变化的图象如图乙所示,求:
(1)小金属块与平板车的质量之比
mM

(2)若小金属块没滑离平板车,则平板车的最终终速度为为多少?
(3)小金属块与平板车上表面间的动摩擦因数.

查看答案和解析>>

科目:高中物理 来源: 题型:

如图甲所示,光滑水平面上停放着一辆上表面粗糙的平板车,平板车质量为M.一质量为m的铁块,以水平初速度v0滑到小车上,两物体开始运动,它们的速度随时间变化的图象如图乙所示(t0是滑块在车上运动的时间),则可以断定(  )

查看答案和解析>>

科目:高中物理 来源: 题型:

(2011?河南模拟)如图甲所示,光滑水平面上有一个单匝均匀正方形铜线框,钱框质量为m,边长为a,总电阻为R.垂直于水平面的有界匀强磁场磁感应强度为B,磁场左、右边界相互平行,相距为b(b>3a).线框的MN边与磁场边界平行.在垂直于MN的水平恒力F作用下线框水平向右运动,t=0时MN边以速度v0进入磁场,t=t0时线框完全进入磁场,t=3t0时线框MN边以速度v0离开磁场.v-t图象如图乙所示.(  )

查看答案和解析>>

同步练习册答案