精英家教网 > 高中物理 > 题目详情
质量为1 kg的物体,以36 m/s的初速度竖直上抛,经2s后速度减小为12 m/s。在此过程中空气阻力大小不变.求:
(1)物体增加的重力势能;
(2)物体克服空气阻力所做的功.
解:
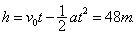
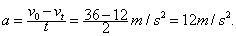
(1)物体上抛过程中加速度的大小为
物体做匀减速运动,2s内上升的高度为
所以,物体增加的重力势能为 △Ep=mgh =1×9.8×48 J=470.4 J.
(2)物体克服空气阻力所做的功为
练习册系列答案
相关习题

科目:高中物理 来源: 题型:

质量为2 kg的物体A和质量为1 kg的物体B,从同一高度自由下落,在下落的过程中

A.它们的速度都逐渐增大,可见它们的惯性都逐渐增大

B.它们在相同的时间内速度的变化相同,可见它们的惯性大小相同

C.A的质量比B大,可知A的惯性比B

D.它们落地后都静止,可见落地后它们的惯性都消失

查看答案和解析>>

科目:高中物理 来源: 题型:

一个人用力把一个质量为1 kg的物体,由静止向上提起1 m,这时物体的速度为2 m/s,则下列说法正确的是(    )

A.手对物体做功为12 J                       B.合外力对物体做功为2 J

C.合外力对物体做功为12 J                 D.物体克服重力做功为10 J

查看答案和解析>>

科目:高中物理 来源: 题型:

在一个光滑水平面内建立平面直角坐标系xOy,质量为1 kg的物体原来静止在坐标原点O(0,0),从t=0时刻起受到如图1所示随时间变化的外力作用,Fy表示沿y轴方向的外力,Fx表示沿x轴方向的外力,下列说法中正确的是                                      (  )

      A.前2 s内物体沿x轴做匀加速直线运动

B.后2 s内物体继续做匀加速直线运动,但加速度沿y轴方向

C.4 s末物体坐标为(4 m,4 m)

      D.4 s末物体坐标为(12 m,4 m)

查看答案和解析>>

科目:高中物理 来源:20092010学年南京六中高一下学期期末试卷物理 题型:填空题

(6分)质量为1 kg的物体从高处自由落下,在下落的头2 s内重力对物体做的功是        J,这2 s内重力做功的平均功率是        w.2 s末重力对物体做功的瞬时功率是           w.

查看答案和解析>>

科目:高中物理 来源:2013届四川省攀枝花市高一12月月考物理卷 题型:选择题

质量为1 kg的物体沿光滑水平面向右运动,它的速度图像如图所示,则它在15s时所受的作用力的大小和方向是: (   )

A.2N向左           B.2N向右   C.1 N向左         D.1 N向右

 

查看答案和解析>>

同步练习册答案