精英家教网 > 高中物理 > 题目详情
如图所示,水平地面上静止放置着物块B和C,相距=1.0m。物块A以速度=10m/s沿水平方向与B正碰。碰撞后A和B牢固地粘在一起向右运动,并再与C发生正碰,碰后瞬间C的速度=2.0m/s。已知A和B的质量均为m,C的质量为A质量的k倍,物块与地面的动摩擦因数μ=0.45。(设碰撞时间很短,g取10m/s2
(1)计算与C碰撞前瞬间AB的速度;
(2)根据AB与C的碰撞过程分析k的取值范围,并讨论与C碰撞后AB的可能运动方向。
解:(1)设AB碰撞后的速度为v1,AB碰撞过程由动量守恒定律得 
设与C碰撞前瞬间AB的速度为v2,由动能定理得 
联立以上各式解得
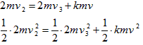
(2)若AB与C发生完全非弹性碰撞,由动量守恒定律得 
代入数据解得
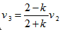
此时AB的运动方向与C相同若AB与C发生弹性碰撞,由动量守恒和能量守恒得

联立以上两式解得
代入数据解得
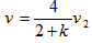
此时AB的运动方向与C相反若AB与C发生碰撞后AB的速度为0,
由动量守恒定律得
代入数据解得
总上所述得
时,AB的运动方向与C相同;
时,AB的速度为0; 
时,AB的运动方向与C相反。
练习册系列答案
相关习题

科目:高中物理 来源: 题型:

(2008?汝城县模拟)如图所示,水平地面上的木块在拉力F的作用下,向右做匀速直线运动,则F与物体受到的地面对它的摩擦力的合力方向为(  )

查看答案和解析>>

科目:高中物理 来源: 题型:

(2011?东莞模拟)如图所示,水平地面上的物体A在斜向上的拉力F的作用下,向右做匀速直线运动,则关于下列物体受力情况的说法中正确的是(  )

查看答案和解析>>

科目:高中物理 来源: 题型:

如图所示,水平地面上竖直地固定着一个光滑的圆环,一个质量为m的小球套在环上,圆环最高点有一小孔,细线一端被人牵着,另一端穿过小孔与小球相连,使球静止于A处,此时细线与竖直成θ角,重力加速度为g,则不正确的说法是(  )

查看答案和解析>>

科目:高中物理 来源: 题型:

如图所示,水平地面上有一辆小车,车上固定一个竖直光滑绝缘管,管的底部有一质量m1=0.2g、电荷量q=8×10-5C的带正电小球,小球的直径比管的内径略小.在管口所在水平面MN的下方存在着垂直纸面向里、磁感应强度B1=15T的匀强磁场,MN面的上方还存在着竖直向上、场强E=25V/m的匀强电场和垂直纸面向外、磁感应强度B2=5T的匀强磁场,现让小车始终保持vx=2m/s的速度匀速向右运动,以带电小球刚经过磁场的边界PQ为计时的起点,测得小球在管内运动的这段时间为t=1s,g取10/s2,不计空气阻力. 
(1)求小球进入磁场B1时的加速度a的大小.
(2)求小球离开管口时的速度v的大小.
(3)若小球离开管口后,求该小球离开MN平面的最大距离是多少?

查看答案和解析>>

科目:高中物理 来源: 题型:

精英家教网如图所示,水平地面上有一斜面体A,在A上放一物体B.现对物体B施加一个沿斜面向上且从零逐渐增大的力F,若A、B始终与地面保持相对静止,则(  )

查看答案和解析>>

同步练习册答案