精英家教网 > 高中物理 > 题目详情
甲、乙两车在同一条直线轨道上同向行驶,甲车的速度是8m/s,后面乙车的速度是16m/s,甲车突然以大小为2m/s2的加速度刹车,乙车也同时刹车,若开始刹车时两车相距16m,乙车加速度至少必须多大时,才能避免相碰?

见解析


【试题分析】
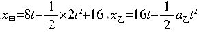
取乙车开始刹车时的位置为坐标原点、前进的方向为正方向,开始刹车的时刻为计时起点,根据避碰临界条件有x=x,v=v
代入
v=8-2t,v=16-at
解得a乙=4m/s2.
练习册系列答案
相关习题

科目:高中物理 来源:2012-2013学年福建三明一中高一上学期期中考试物理试卷(带解析) 题型:单选题

两辆游戏赛车在两条平行的直车道上行驶,时两车都在同一计时线处,此时比赛开始。它们在四次比赛中的图如图甲~丁。哪些图对应的比赛中,有一辆赛车追上了另一辆

(甲)             (乙)              (丙)             (丁)

A.甲和丙B.乙和丙
C.甲、乙和丁D.甲、丙和丁

查看答案和解析>>

科目:高中物理 来源:2015届福建三明一中高一上学期期中考试物理试卷(解析版) 题型:选择题

两辆游戏赛车在两条平行的直车道上行驶,时两车都在同一计时线处,此时比赛开始。它们在四次比赛中的图如图甲~丁。哪些图对应的比赛中,有一辆赛车追上了另一辆

(甲)              (乙)               (丙)              (丁)

A.甲和丙          B.乙和丙       

C.甲、乙和丁           D.甲、丙和丁

 

查看答案和解析>>

同步练习册答案