精英家教网 > 高中物理 > 题目详情
用如图所示的实验装置验证机械能守恒定律。实验所用的电源为学生电源,输出电压为6V的交流电和直流电两种,重锤从高处由静止开始落下,重锤从拖着的纸带通过打点计时器打出一系列的点,对纸带上的点的痕迹进行测量,即可验证机械能定恒定律。

(1)下面列举了该实验的几个操作步骤:
        A.按照图示的装置安装器件;
        B.将打点计时器接到电源的直流输出端上;
        C.用天平测量出重锤的质量;
        D.释放悬挂纸带的夹子,同时接通电源开关打出一条纸带;
        E.测量打出的纸带上某些点之间的距离;
        F.根据测量的结果计算重锤下落过程中减少的重力势能是否等于增加的动能。
指出其中没有必要进行的步骤是_____________;操作不恰当的步骤是_______________。
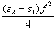
(2)利用这个装置也可以测量重锤下落的加速度a的数值。如图所示,根据打出的纸带,选取纸带上打出的连续五个点A、B、C、D、E,测出A点距起始点O的距离为s0,点A、C间的距离为s1,点C、E间的距离为s2,使用交流电的频率为f,则根据这些条件计算重锤下落的加速度a的表达式:a=____________。

(3)在验证机械能守恒定律的实验中发现,重锤减少的重力势能总是大于重锤动能的增加,其原因主要是因为在重锤下落过程中存在着阻力的作用,可以通过该实验装置测定该阻力的大小。若已知当地重力加速度公认的较准确的值为g,还需要测量的物理量是_______________。试用这些物理量和纸带上的测量数据表示出重锤在下落的过程中受到的平均阻力大小为F=____________。
(1)C,BD
(2)
(3)m,
练习册系列答案
相关习题

科目:高中物理 来源: 题型:

用如图所示的实验装置验证机械能守恒定律.实验所用的电源为学生电源,输出电压为6V的交流电和直流电两种.重锤从高处由静止开始下落,重锤上拖着的纸带打出一系列的点,对纸带的点痕进行测量,即可验证机械能守恒定律.
(1)下面列举了该实验的几个操作步骤:
A.按照图示的装置安装器件;
B.将打点计时器接到电源的“直流输出”上;
C.释放悬挂纸带的夹子,同时接通电源开关打出一条纸带;
D.测量纸带上某些点间的距离;
E.根据测量的结果计算重锤下落过程中减少的重力势能是否等于增加的动能.
操作不当的步骤是
BC
BC
(将其选项对应的字母填在空行内)
(2)根据纸带算出相关各点的速度v,量出下落距离h,则以
v22
为纵轴,以h为横轴画出的图线应是图中的
C
C

查看答案和解析>>

科目:高中物理 来源: 题型:

小明同学用如图所示的实验装置验证规律:物体质量一定,其加速度与所受合力成正比.
(1)在平衡摩擦力时,小明用垫木把长木板的右端垫得过高,使得倾角偏大.他所得到的小车的加速度a与细线作用于小车的拉力F之间的关系可用下图中哪条图线表示?答:


(2)小明认为,在做以上实验时,“细线作用于小车的拉力F等于砂和桶的总重力”是有条件的.他把实验装置设想成如图丙所示的模型:水平面上的小车,用轻绳跨过定滑轮使之与盛有砂的小桶相连.已知小车的质量为M,砂和桶的总质量为m,重力加速度为g.若不计摩擦阻力与空气的阻力,根据牛顿第二定律可以计算得出细线作用于小车的拉力F=
Mmg
M+m
Mmg
M+m
;由此可知,当满足
当m<<M
当m<<M
条件时,才可以认为细线作用于小车的拉力F等于砂和桶的总重力mg.

查看答案和解析>>

科目:高中物理 来源: 题型:

用如图所示的实验装置观察双缝干涉图样,双缝之间的距离是0.3mm,用的是红色滤色片,在毛玻璃屏上可以看到红色干涉条纹.
(1)毛玻璃屏上的干涉条纹与双缝垂直还是平行?
平行
平行

(2)如果把毛玻璃屏向远离双缝的方向移动,相邻两亮条纹中心的距离
增大
增大
.(填“增大”、“不变”或“减小”)
(3)把红色滤色片换成绿色,相邻两个亮条纹间的距离
减小
减小
.(填“增大”、“不变”或“减小”)
(4)如果把单缝向双缝移近一些,相邻两亮条纹中心的距离
不变
不变
.(填“增大”、“不变”或“减小”) 
(5)在某次实验中,双缝间距d=0.5mm,双缝与光屏间距离L=0.5m,用某种单色光照射双缝得到干涉图样如图,分划板在图中A、B位置时游标卡尺读数如图,则图中A位置的游标卡尺读数为
11.1mm
11.1mm
,B位置的游标卡尺读数为
15.6mm
15.6mm
,单色光的波长为
6.4×10-7
6.4×10-7
m.

查看答案和解析>>

科目:高中物理 来源: 题型:

用如图所示的实验装置验证机械能守恒定律.实验所用的电源为学生电源,输出电压为6V的交流电和直流电两种.重锤从高处由静止开始下落,重锤上拖着的纸带打出一系列的点,对纸带上的点迹进行测量,即可验证机械能守恒定律.
(1)下面列举了该实验的几个操作步骤:
A.按照图示的装置安装器件;
B.将打点计时器接到电源的“直流输出”上;
C.用天平测出重锤的质量;
D.先释放纸带,再接通电源,打出一条纸带;
E.用秒表测出重锤下落的时间;
F.测量纸带上某些点间的距离;
G.根据测量的结果计算重锤下落过程中减少的重力势能是否等于增加的动能.
其中没有必要进行的步骤是
CE
CE
(填选项)
其中操作错误的步骤是
BD
BD
(填选项)
(2)在实验中,质量m=1kg的物体自由下落,得到如图所示的纸带,相邻计数点间的时间间隔为0.04s.那么从打点计时器打下起点P到打下B点的过程中,物体重力势能的减少量△Ep=
2.28
2.28
J,此过程中物体动能的增加量△Ek=
2.26
2.26
J.(取g=9.8m/s2,结果保留三位有效数字)
(3)用v表示各计数点的速度,h表示各计数点到P点的距离,以
v2
2
为纵轴,以h为横轴,根据实验数据绘出 
v2
2
~h的图线,若图线的斜率等于某个物理量的数值时,说明重物下落过程中机械能守恒,该物理量是
当地重力加速度g
当地重力加速度g

查看答案和解析>>

科目:高中物理 来源: 题型:阅读理解

Ⅰ.用如图所示的实验装置来验证牛顿第二定律.
①为消除摩擦力的影响,实验前平衡摩擦力的具体操作为:取下
砂桶
砂桶
,把木板不带滑轮的一端适当垫高并反复调节,直到轻推小车后,小车能沿木板做
匀速直线
匀速直线
运动.
②某次实验测得的数据如下表所示,根据这些数据在坐标图中描点并作出a-
1
m
图线,从a-
1
m
图线求得合外力大小为
0.3
0.3
N(计算结果保留两位有效数字).
Ⅱ.某物理兴趣小组的同学想用如图甲所示的电路探究一种热敏电阻的温度特性.
(1)请按电路原理图将图乙中所缺的导线补接完整.为了保证实验的安全,滑动变阻器的滑动触头P在实验开始前应置于
a
a
端(选填“a”或“b”)

(2)正确连接电路后,在保温容器中注入适量冷水.接通电源,调节R记下电压表和电流表的示数,计算出该温度下的电阻值,将它与此时的水温一起记入表中.改变水的温度,测量出不同温度下的电阻值.该组同学的测量数据如下表所示,请你在图丙的坐标纸中画出该热敏电阻的R-t关系图.对比实验结果与理论曲线(图中已画出)可以看出二者有一定的差异.除了读数等偶然误差外,还可能是什么原因造成?
电流表的分压造成电阻的测量值总比真实值大或随着温度的升高,热敏电阻的阻值变小,电流表的分压作用更明显,相对误差更大
电流表的分压造成电阻的测量值总比真实值大或随着温度的升高,热敏电阻的阻值变小,电流表的分压作用更明显,相对误差更大

温度/℃ 30 40 50 60 70 80 90 100
阻值/kΩ 7.8 5.3 3.4 2.2 1.5 1.1 0.9 0.7
(3)已知电阻的散热功率可表示为P=k(t-t0),其中k是比例系数,t是电阻的温度,t0是周围环境温度.现将本实验所用的热敏电阻接到一个恒流电源中,使流过它的电流恒为40mA,t0=20℃,k=0.16W/℃.由理论曲线可知:
①该电阻的温度大约稳定在
50
50
℃;    ②此时电阻的发热功率为
4.8
4.8
W.

查看答案和解析>>

同步练习册答案