精英家教网 > 高中物理 > 题目详情

从斜面上某位置,每隔T=0.1 s释放一个小球,在连续释放几个后,对在斜面上的小球拍下照片,如图7所示,测得sAB =15 cm,sBC =20 cm,试求:

(1)小球的加速度a;

(2)拍摄时B球的速度vB

(3)拍摄时C、D间的距离sCD

(4)A球上面滚动的小球还有几个?

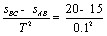
(1)由知小球的加速度

a=cm/s2=500 cm/s2=5 m/s2

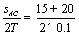
(2)B点的速度等于AC段的平均速度,即:

vBcm/s=1.75 m/s

(3)由于相邻相等时间的位移差恒定,即sCD -sBC =sBC -sAB

所以sCD=2sBC-sAB=25 cm=0.25 m

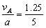
(4)设A点小球的速率为vA,根据运动学关系有:

vB=vA+aT 

所以:vA=vB-aT=1.25 m/s

故A球的运动时间tAs=0.25 s,故A球的上方正在滚动的小球还有两个。

练习册系列答案
相关习题

科目:高中物理 来源: 题型:

从斜面上某位置,每隔T=0.1s释放一个小球,在连续释放几个后,对在斜面上的小球拍下照片,如图所示,测得实际球间距离sAB=15cm,sBC=20cm,试求:
(1)小球的加速度a;
(2)拍摄时B球的速度vB
(3)拍摄时C、D间的实际距离sCD
(4)A球上面沿斜面滚动的小球还有几个?

查看答案和解析>>

科目:高中物理 来源: 题型:

从斜面上某位置,每隔0.1 s释放一个小球,在连续释放几个后,对在斜面上的小球拍下照片,如图2-7-4所示.测得sAB=15 cm,sBC=20 cm.试求:

(1)小球的加速度;

(2)拍摄时B球的速度vB;

(3)拍摄时的sCD;

(4)A球上面滚动的小球还有几个?

查看答案和解析>>

科目:高中物理 来源: 题型:

 从斜面上某位置,每隔0.1 s释放一个小球,在连续释放几个后,对在斜面上的小球拍下照片,如图所示,测得sAB =15 cm,sBC =20 cm,试求

(1)小球的加速度.

(2)拍摄时B球的速度vB=?

(3)拍摄时sCD=?

(4)A球上面滚动的小球还有几个?

 

 

 

 

查看答案和解析>>

科目:高中物理 来源:2012-2013学年辽宁省本溪一中高一第一次月考物理试卷(带解析) 题型:计算题

(12分)从斜面上某位置,每隔0.1 s释放一个小球,在连续释放几个后,对在斜面上的小球拍下照片,如图所示,测得sAB ="15" cm,sBC ="20" cm,试求

(1)小球的加速度.
(2)拍摄时B球的速度vB=?
(3)拍摄时sCD=?
(4)A球上面滚动的小球还有几个?

查看答案和解析>>

科目:高中物理 来源:2010年海南中学高一上学期期中考试物理试题 题型:计算题

从斜面上某位置,每隔0.1 s释放一个小球,在连续释放几个后,对在斜面上的小球拍下照片,如图所示,测得sAB ="15" cm,sBC ="20" cm,试求:
(1)小球的加速度.
(2)拍摄时B球的速度vB=?
(3)拍摄时sCD=?(4)A球上面滚动的小球还有几个?

查看答案和解析>>

同步练习册答案