精英家教网 > 高中物理 > 题目详情
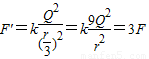
两个完全相同的金属小球,分别带有+3Q和-Q的电荷量,当它们相距r时(r比小球半径大得多),它们之间的库仑力是F,若把它们接触后分开,再置于相距的两点,则它们的库仑力的大小将变为( )
A.
B.F
C.3F
D.9F
【答案】分析:接触带电的原则是先中和再平分.根据库仑定律公式求出库仑力的大小.
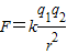
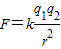
解答:解:根据库仑定律公式得,F=.接触再分离后所带电量各为Q,.故C正确,A、B、D错误.
故选C.
点评:解决本题的关键掌握库仑定律的公式
练习册系列答案
相关习题

科目:高中物理 来源: 题型:

两个完全相同的金属小球带有电量相等的电荷,相距一定的距离,相互作用力为F,现在用第三个完全相同不带电的小金属球C先跟A接触,再和B接触,然后移去C,则A、B间的相互作用力为(  )
A、
F
8
B、
F
4
C、
3F
8
D、
F
3

查看答案和解析>>

科目:高中物理 来源:2015届广东省高二上学期期中物理试卷(解析版) 题型:选择题

两个完全相同的金属小球带有电量相等的电荷,相距一定的距离,相互作用力为F,现在用第三个完全相同不带电的小金属球C先跟A接触,再和B接触,然后移去C,则AB间的相互作用力为:??

A. F/8?????????????? B. F/4??????????? C. F3/8???? ?????? D. F/3

 

查看答案和解析>>

科目:高中物理 来源:2010-2011学年浙江省高三上学期期中考试物理试卷 题型:选择题

两个完全相同的金属小球,分别带有+3Q和- Q的电荷量,当它们相距r时,它们之间的库仑力是F. 若把它们接触后分开,再置于相距r/3的两点,则它们的库仑力的大小将变为(小球半径比r小得多)(       )

A.F/3             B.F                C.3F             D.9F

 

查看答案和解析>>

科目:高中物理 来源:2010年广东省高二上学期期中考试理综物理部分 题型:选择题

下列表述正确的是(    )

A. 两个完全相同的金属球,带电量分别为Q和-3Q,现将这两个金属球接触后分开,两球一定都带上了2 Q的电量

B.只有体积很小的带电体才能看作点电荷

  C.电场线就是点电荷在电场中的运动轨迹

D.库仑总结并确认了真空中两个静止点电荷之间的相互作用规律

 

查看答案和解析>>

科目:高中物理 来源:2010年云南省高二上学期期中考试(物理理)试卷 题型:选择题

两个完全相同的金属小球,分别带有+3Q和-Q的电荷量,当它们相距r时,它们之间的库仑力是F. 若把它们接触后分开,再置于相距r/3的两点,则它们的库仑力的大小将变为(小球半径比r小得多)(      )

A.F/3             B.F                C. 3F             D.9F

 

查看答案和解析>>

同步练习册答案