精英家教网 > 高中物理 > 题目详情

某研究性学习小组在学习了摩擦力之后,通过观察沙堆的形成测出了沙粒之间的动摩擦因数。研究的过程如下:研究小组通过观察沙堆的形成过程可以发现,由漏斗落下的细沙总是在地面上形成一个小圆锥体,继续下落时,细沙沿圆锥体表面下滑,当圆锥体的母线与底面夹角达到一定角度时,细沙不再下滑,如图5所示。经过反复实验,研究小组得出结论:沙堆的形成与沙粒之间的动摩擦因数有关。该小组只用一把皮卷尺就测定了沙粒之间的动摩擦因数(假定最大静摩擦力等于滑动摩擦力),则:

       (1)该小组必须测定的物理量是___________。

       (2)动摩擦因数与这些物理量之间的关系是______________________。

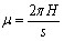
(1)测量沙堆的高度H和底面的周长s;(2)

【解析】(1)当圆锥体的母线与底面夹角达到一定角度时,细沙不再下滑,此时应有沙粒受到的最大静摩擦力与重力的向下分力平衡,有

所以,要测量沙粒之间的动摩擦因数,就须间接测出圆锥体的母线与底面的夹角θ,测出测量沙堆的高度H和底面的周长s,就能算出θ的正切,算出沙粒之间的动摩擦因数。

(2)

练习册系列答案
相关习题

科目:高中物理 来源: 题型:

某研究性学习小组在学完“测定金属丝电阻率”实验后,想利用下列器材测定自来水的电阻率:

①用毫米刻度尺测量如图甲所示的一段自来水管上两接线柱间距离为L;
②用游标卡尺测量水管内径为d,如图乙所示的读数为
21.4
21.4
mm;
③用多用电表测量两接线柱间装满自来水时电阻约20KΩ;
④为提高实验结果的准确程度,电流表应选用
A
 
1
A
 
1
,电压表应选用
V
 
2
V
 
2
(以上均填器材代号);
⑤为了达到上述目的,某同学设计出正确的电路原理图并按电路图连接好实物图如丙图所示,接通电路后,当调节滑动变阻器的滑动片时,发现电压表、电流表有示数但几乎不变,请指出哪一根导线发生了断路?
c
c
(只要填写图中导线字母代号);
⑥若实验电路中电流表示数为I,电压表示数为U,可求得自来水的电阻率ρ=
πd
2
 
U
4IL
πd
2
 
U
4IL
.(用以上测得的物理量符号表示)

查看答案和解析>>

科目:高中物理 来源: 题型:

(2011?宜昌二模)某研究性学习小组在学完《闭合电路欧姆定律》后,利用如图所示的电路来探究电路中各部分的电压、电流随滑动变阻器R阻值变化的关系.电路中R1、R2、R3为三个定值电阻,四个电表均视为理想电表,当滑动变阻器R的滑片P分别置于a、b两个位置时,读出四个电表的两组数据如下:
P的位置 A1的示数 A2的示数 V1的示数 V2的示数
a 0.42 0.26 3.20 2.00
b 0.48 0.34 2.80 1.70
学习小组的同学们通过对上述两组数据的分析,发现其中某个电表的读数存在偏差,经过仔细检查,发现是有个电表的内部接线出现松动,致使其读出的数值不准确.
(1)有故障的电表是:
V2
V2

(2)利用另外三个无故障电表的读数值,能求出R1、R2、R3这三个定值电阻中哪些电阻的阻值,阻值多大?答:
电阻R3=20Ω
电阻R3=20Ω

(3)能否求出所用电源的电动势E和内阻r的大小?如能,求出其数值.
答:
E=6V
E=6V

查看答案和解析>>

科目:高中物理 来源: 题型:阅读理解

(1)某课外活动小组利用力传感器和位移传感器进一步探究变力作用下的“动能定理”.图(甲)所示,他们用力传感器通过定滑轮直接拉固定在小车上的细绳,测出拉力F;用位移传感器测出小车的位移s和瞬时速度v.已知小车质量为200g.精英家教网
①某次实验得出拉力F随位移s变化规律如图(乙)所示,速度v随位移s变化规律如图(丙)所示,数据如表格.利用所得的F-s图象,求出s=0.30m到0.52m过程中变力F做功W=
 
J,此过程动能的变化△EK=
 
J(保留2位有效数字).
s/m F/N v/m′s-1
0.30 1.00 0.00
0.31 0.99 0.31
0.32 0.95 0.44
0.35 0.89 0.67
0.40 0.81 0.93
0.45 0.70 1.10
0.52 0.60 1.30
②指出下列情况可减小实验误差的操作是
 
(填选项前的字母,可能不止一个选项)
A.使拉力F要远小于小车的重力;
B.实验时要先平衡摩擦力;
C.要使细绳与滑板表面平行.
(2)某研究性学习小组在学完“测定金属丝电阻率”实验后,想利用下列器材测定自来水的电阻率:
器材(代号) 规格
电流表(A1
电流表(A2
电压表(V1
电压表(V2
滑动变阻器(R)
直流电源(E)
开关(S)、导线若干
毫米刻度尺、游标卡尺
多用电表
一节两端可封住的绝缘PVC水管
量程0~1mA,内阻约为50Ω
量程0~0.6A,内阻约为0.1Ω
量程0~3V,内阻约为10kΩ
量程0~15V,内阻约为50kΩ
阻值范围0~50Ω,允许最大电流0.5A
输出电压15V,内阻不计
①用毫米刻度尺测量如图(甲)所示的一段自来水管上两接线柱间距离为L;
②用游标卡尺测量水管内径为d,如图(乙)所示的读数为
 
mm;
③用多用电表测量两接线柱间装满自来水电阻约20kΩ;
④为提高实验结果的准确程度,电流表应选用
 
,电压表应选用
 
(以上均填器材代号);
⑤为了达到上述目的,某同学设计出正确的电路原理图并按电路图连接好实物图如(丙)图所示.接通电路后,当调节滑动变阻器的滑动片时,发现电压表、电流表有示数但几乎不变,请指出哪一根导线发生了断路?
 
(只要填写图中导线字母代号);
⑥若实验电路中电流表示数为I,电压表示数为U,可求得自来水的电阻率ρ=
 
.(用以上测得的物理量符号表示)
精英家教网

查看答案和解析>>

科目:高中物理 来源: 题型:

某研究性学习小组在学完《闭合电路欧姆定律》后,利用如图所示的电路来探究电路中各部分的电压、电流随滑动变阻器R阻值变化的关系.电路中R1、R2、R3为三个定值电阻,四个电表均视为理想电表,当滑动变阻器R的滑片P分别置于a、b两个位置时,读出四个电表的两组数据如下:

P的位置

A1的示数

A2的示数

V1的示数

V2的示数

a

0.42

0.26

3.20

2.00

b

0.48

0.34

2.80

1.70

         学习小组的同学们通过对上述两组数据的分析,发现其中某个电表的读数存在偏差,经过仔细检查,发现是有个电表的内部接线出现松动,致使其读出的数值不准确.

         ⑴有故障的电表是:         

         ⑵利用另外三个无故障电表的读数值,能求出R1、R2、R3这三个定值电阻中哪些电阻的阻值,阻值多大?答:                       

         ⑶能否求出所用电源的电动势E和内阻r的大小?如能,求出其数值.

         答:                              

查看答案和解析>>

科目:高中物理 来源:2011届湖北省夷陵中学、钟祥一中高三上学期第二次联考(理综)物理部分 题型:实验题

某研究性学习小组在学完《闭合电路欧姆定律》后,利用如图所示的电路来探究电路中各部分的电压、电流随滑动变阻器R阻值变化的关系.电路中R1、R2、R3为三个定值电阻,四个电表均视为理想电表,当滑动变阻器R的滑片P分别置于a、b两个位置时,读出四个电表的两组数据如下:

P的位置
A1的示数
A2的示数
V1的示数
V2的示数
a
0.42
0.26
3.20
2.00
b
0.48
0.34
2.80
1.70

学习小组的同学们通过对上述两组数据的分析,发现其中某个电表的读数存在偏差,经过仔细检查,发现是有个电表的内部接线出现松动,致使其读出的数值不准确.
⑴有故障的电表是:         
⑵利用另外三个无故障电表的读数值,能求出R1、R2、R3这三个定值电阻中哪些电阻的阻值,阻值多大?答:                      
⑶能否求出所用电源的电动势E和内阻r的大小?如能,求出其数值.
答:                             

查看答案和解析>>

同步练习册答案