精英家教网 > 高中物理 > 题目详情

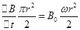
如图所示,匀强磁场中有一个半圆形闭合导线框,其直径与磁场边缘重合,磁场方向垂直于纸面(导线框所在平面)向里,磁感应强度大小为B0。当该线框从静止开始绕过圆心O、垂直于纸面的轴以角速度ω匀速转动半周,在线框中产生感应电流。现使导线框保持图示位置不动,磁感应强度大小随时间均匀变化。为了产生同样大小的感应电流,磁感应强度随时间变化率的大小应为

A.     B.     C.     D.

 

【答案】

B

【解析】

试题分析:磁场不变,线圈绕圆心转动时,切割磁场的有效长度是一条半径,但是半径各点切割磁感线的速度大小不同,只是角速度相同,圆心处线速度等于0,圆弧处线速度等于,取平均速度,那么产生的感应电动势,线圈不同,磁场变化,那么感应电动势要使得电动势相等,则有答案B对。

考点:电磁感应

 

练习册系列答案
相关习题

科目:高中物理 来源: 题型:

用细线悬挂一个质量为m,带正电的小球,置于如图所示的匀强磁场中.当小球偏离竖直方向在垂直于磁场方向摆动时,如果细线始终绷紧,不计空气阻力,则前后两次通过最低点时相比较,相同的物理量是(  )

查看答案和解析>>

科目:高中物理 来源: 题型:

如图所示,匀强磁场中有一个开口向上的绝缘半球,内壁粗糙程度处处相同,将带有正电荷的小球从半球左边最高处静止释放,物块沿半球内壁只能滑到右侧的C点处;如果撤去磁场,仍将小球从左边最高点释放,则滑到右侧最高点应是(  )

查看答案和解析>>

科目:高中物理 来源: 题型:

精英家教网在如图所示的匀强磁场中有一光滑的金属轨道,轨道上放有两根平行金属棒AB、CD.当棒AB向右平行移动时,棒CD将(  )
A、保持静止B、向左运动C、向右运动D、发生转动

查看答案和解析>>

科目:高中物理 来源: 题型:

精英家教网如图所示,匀强磁场中有一矩形闭合线圈abcd,线圈平面与磁场垂直.已知线圈的匝数N=100,边长ab=1.0m、bc=0.5m,电阻r=2Ω. 磁感应强度B在0~1s内从零均匀变化到0.2T. 在1~5s内从0.2T均匀变化到-0.2T,取垂直纸面向里为磁场的正方向.求:
(1)0.5s时线圈内感应电动势的大小E和感应电流的方向;
(2)在1~5s内通过线圈的电荷量q;
(3)在0~5s内线圈产生的焦耳热Q.

查看答案和解析>>

科目:高中物理 来源: 题型:

如图所示,匀强磁场中有一个开口向上的绝缘半球,内壁粗糙程度处处相同,将带有正电荷的小球(可视为质点)从半球左边最高处由静止释放,物块沿半球内壁只能滑到右侧的C点;如果撤去磁场,仍将小球从左边最高点由静止释放,则滑到右侧最高点应是(  )

查看答案和解析>>

同步练习册答案