精英家教网 > 高中物理 > 题目详情
如图所示为粮食仓库中常用的皮带传输装置示意图,它由两台皮带传送机组成,一台水平传送,A、B两端相距;另一台倾斜传送,传送带与地面间的倾角,C、D两端相距,B、C相距很近。水平传送带以沿顺时针方向转动。现将质量为的一袋大米无初速度的放在A端,它随传送带到达B点后,速度大小不变的传到倾斜传送带的C端。米袋与两传送带之间的动摩擦因素均为,取
(1)若倾斜传送带CD不转动,则米袋沿传送带CD所能上滑的最大距离是多少?
(2)若倾斜传送带CD以的速率沿顺时针方向转动,则米袋从C端运动到D端的时间为多少?
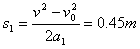
解:(1)米袋在AB上加速运动的加速度为
米袋速度达到时滑过的距离
故米袋先加速一段时间后再与传送带一起匀速运动,到达才C端速度为
设米袋在CD上传送的加速度大小为a,据牛顿第二定律
,得
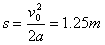
能沿CD上滑的最大距离
(2)CD顺时针转动时,米袋速度减为之前的加速度为
此时上滑的距离
米袋速度达到后,由于,米袋继续减速上滑
其加速度为
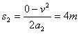
减速到零时上滑的距离
,即速度为零时刚好到D端
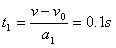
由v0减速为v所用时间
由v减速为0所用时间
故米袋从C到D的总时间
练习册系列答案
相关习题

科目:高中物理 来源: 题型:

如图所示为粮食仓库中常用的皮带传输装置示意图,它由两台皮带传送机组成,一台水平传送,A、B两端相距L1=3m;另一台倾斜传送,传送带与地面间的倾角为θ为37°,C、D两端相距L2=4.45m,B、C相距很近.水平传送带以v0=5m/s沿顺时针方向转动.现将质量为m=10kg的一袋大米(可视为质点)无初速度的放在A端,它随传送带到达B点后,速度大小不变的传到倾斜传送带的C端.米袋与两传送带之间的动摩擦因素均为0.5,取g=10m/s2,sin37°=0.6,cos37°=0.8.求:
(1)经过多长时间米袋从A点到达B点?
(2)若倾斜传送带CD不转动,则米袋沿传送带CD所能上滑的最大距离是多少?

查看答案和解析>>

科目:高中物理 来源: 题型:

如图所示为粮食仓库中常用的皮带传输装置示意图,它由两台皮带传送机组成,一台水平传送,A、B两端相距L1=3m;另一台倾斜传送,传送带与地面间的倾角θ=37°,C、D两端相距L2=4.45m,B、C相距很近.水平传送带以v0=5m/s沿顺时针方向转动.现将质量为m=10kg的一袋大米无初速度的放在A端,它随传送带到达B点后,速度大小不变的传到倾斜传送带的C端.米袋与两传送带之间的动摩擦因素均为μ=0.5,取g=10m/s2,sin37°=0.6,cos37°=0.8
(1)若倾斜传送带CD不转动,则米袋沿传送带CD所能上滑的最大距离是多少?
(2)若倾斜传送带CD以v=4m/s的速率沿顺时针方向转动,则米袋从C端运动到D端的时间为多少?

查看答案和解析>>

科目:高中物理 来源: 题型:

如图所示为粮食仓库中常用的皮带传输装置示意图,它由两台皮带传送机组成,一台水平传送,A、B两端相距L1=3m;另一台倾斜传送,传送带与地面间的倾角θ=370,C、D两端相距L2=4.45m,B、C相距很近.水平传送带以v0=5m/s沿顺时针方向转动.现将质量为m=10kg的一袋大米无初速度的放在A端,它随传送带到达B点后,速度大小不变的传到倾斜传送带的C端.米袋与两传送带之间的动摩擦因素均为μ=0.5,取g=10m/s2,sin37°=0.6,cos37°=0.8.
(1)米袋在AB上加速时加速度多大?
(2)若倾斜传送带CD不转动,则米袋沿传送带CD所能上滑的最大距离是多少?
(3)若倾斜传送带CD以v=4m/s的速率沿顺时针方向转动,则米袋从C端运动到D端的时间为多少?

查看答案和解析>>

科目:高中物理 来源: 题型:

精英家教网如图所示为粮食仓库中常用的皮带传输装置示意图,它由两台皮带传送机组成,一台水平传送,A、B两端相距L1=3m;另一台倾斜传送,传送带与地面间的倾角θ=37°,C、D两端相距L2=4.45m,B、C相距很近.水平传送带以v0=5m/s沿顺时针方向转动.现将质量为m=10kg的一袋大米无初速度的放在A端,它随传送带到达B点后,速度大小不变的传到倾斜传送带的C端,当米袋速度为零时将米袋取走.米袋与两传送带之间的动摩擦因素均为μ=0.5,取g=10m/s2,sin37°=0.6,cos37°=0.8.
(1)若倾斜传送带CD不转动,则米袋沿传送带AB运动的时间为多少?米袋沿传送带CD向上滑动的时间为多少?
(2)若倾斜传送带CD以v=4m/s的速率沿顺时针方向转动,试判断米袋能否传到D端?若不能,求米袋沿传送带CD所能上滑的最大距离;若能,求米袋从C端运动到D端的时间.

查看答案和解析>>

科目:高中物理 来源: 题型:

如图所示为粮食仓库中常用的皮带传输装置示意图,它由两台皮带传送机组成,一台水平传送,A、B两端相距;另一台倾斜传送,传送带与地面间的倾角,C、D两端相距,B、C相距很近且平滑连接。水平传送带以沿顺时针方向转动。现将质量为的一袋大米无初速度的放在A端,它随传送带到达B点后,速度大小不变的传到倾斜传送带的C端。米袋与两传送带之间的动摩擦因素均为,取

(1)若倾斜传送带CD不转动,则米袋沿传送带CD所能上滑的最大距离是多少?

(2)若倾斜传送带CD以的速率沿顺时针方向转动,则米袋从C端运动到D端的时间为多少?

 

查看答案和解析>>

同步练习册答案