精英家教网 > 高中物理 > 题目详情
如图所示电路,R1=R2=4 Ω,R3=R4=2 Ω,UAB=6 V,求:
(1)电流表A1和A2的示数(不计电流表的内阻)。
(2)R1与R4两端电压之比。
解:等效电路如图所示

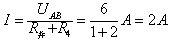
(1)R1、R2、R3三个电阻并联的总电阻设为R,则有

解得:R=1 Ω
部分电路的总电流为:
并联部分的电压为:U=IR=2×1V=2 V
通过R1、R2、R3三个电阻的电流分别为:
由图可知,电流表A1的示数是通过R2与R3的电流之和,则有:IA1=I2+I3=0.5 A+1 A=1.5 A
电流表A2的示数是通过R1与R2的电流之和,则有:IA2=I1+I2=0.5 A+0.5 A=1 A
(2)因为UAB=U+U4,所以R4两端电压为:U4=UAB-U=6 V-2 V=4 V,U1=U=2 V
练习册系列答案
相关习题

科目:高中物理 来源: 题型:

在温控电路中,通过热敏电阻阻值随温度的变化可实现对电路相关物理量的控制作用,如图所示电路,R1为定值电阻,R2为半导体热敏电阻(温度越高电阻越小),C为电容器,当环境温度降低时(  )

查看答案和解析>>

科目:高中物理 来源: 题型:

(2009?佛山二模)在温控电路中,通过热敏电阻阻值随温度的变化可实现对电路相关物理量的控制作用.如图所示电路,R1为定值电阻,R2为半导体热敏电阻(温度越高电阻越小),C为电容器.当环境温度降低时(  )

查看答案和解析>>

科目:高中物理 来源: 题型:

如图所示电路,R1=R3=R4=2Ω,R2=1Ω.当电键S断开时,电压表的示数为2.8V,当电键S闭合时,电压表的示数为2.5V,求:
(1)画出S断开时的等效电路图,求出外电路电阻值.
(2)画出S闭合时的等效电路图,求出外电路电阻值.
(3)电源电动势和内电阻各是多少?

查看答案和解析>>

科目:高中物理 来源: 题型:

精英家教网如图所示电路,R1为变阻器,R2为定值电阻,r为电源内阻,且r>R2.若R1上的电功率为P1,R2上的电功率为P2.以下叙述中正确的是(  )

查看答案和解析>>

科目:高中物理 来源: 题型:

精英家教网如图所示电路,R1≠R2≠R3,电源内阻不计.如将电流表和电源位置互换,则关于电流表示数的说法中正确的是(  )
A、不变B、变大C、变小D、无法确定

查看答案和解析>>

同步练习册答案