精英家教网 > 高中物理 > 题目详情
某实验小组利用如图(a)所示的气垫导轨实验装置来探究合力一定时,物体的加速度与质量之间的关系。
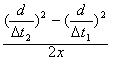
(1)做实验时,将滑块从图(a)所示位置由静止释放,由数字计时器(图中未画出)可读出遮光条通过光电门1、2的时间分别为△t1、△t2;用刻度尺测得两个光电门中心之间的距离x,用游标卡尺测得遮光条宽度d。则滑块经过光电门l时的速度表达式v1=______;经过光电门2时的速度表达式v2=____,滑块加速度的表达式a=___(以上表达式均已用已知字母表示)。如图(b)所示,若用20分度的游标卡尺测量遮光条的宽度,其读数为____mm。
(2)为了保持滑块所受的合力不变,可改变滑块质量M和气垫导轨右端高度h,如图(a)。关于“改变滑块质量M和气垫导轨右端的高度h”的正确操作方法是____。
A.M增大时,h增大,以保持二者乘积增大
B.M增大时,h减小,以保持二者乘积不变
C.M减小时,h增大,以保持二者乘积不变
D.M减小时,h减小,以保持二者乘积减小
(1),8.15
(2)BC
练习册系列答案
相关习题

科目:高中物理 来源: 题型:

某实验小组利用如图所示的装置进行“探究加速度与合外力的关系”的实验.
(1)在实验中必须平衡摩擦力,通过
重力沿斜面的分力(或倾斜木板)
重力沿斜面的分力(或倾斜木板)
的方法来平衡摩擦力,当小车恰能自行匀速运动时,平衡了摩擦力.
(2)实验中打点计时器所使用的是频率为50Hz的交流电源,如下图中给出的是实验中获取的纸带的一部分:1、2、3、4、5是计数点,每相邻两计数点间还有4个打点未标出,每两个计数点间的时间间隔是
0.1
0.1
s,由该纸带可求得小车的加速度a=
1.07
1.07
m/s2

查看答案和解析>>

科目:高中物理 来源: 题型:阅读理解

I.某实验小组利用如图甲所示的实验装置来验证钩码和滑块所组成的系统机械能守恒,实验前已经调整气垫导轨底座使之水平.
精英家教网
(1)如图乙所示,用游标卡尺测得遮光条的宽度d=
 
cm;实验时将滑块从图示位置由静止释放,由数字计时器读出遮光条通过光电门的时间△t=1.2×10-2 s,则滑块经过光电门时的瞬时速度为
 
m/s.在本次实验中还需要测量的物理量有:钩码的质量m、
 
 
(文字说明并用相应的字母表示).
(2)本实验通过比较
 
1
2
(m+M)(
d
△t
)2
在实验误差允许的范围内相等(用测量的物理量符号表示),从而验证了系统的机械能守恒.
Ⅱ.有一个额定电压为10V、额定功率在10~15W之间的热电阻RL,为了测定它的额定功率,现有下面器材可供选用:
电源E:电动势为15V,内阻不计
电流表A:量程为0~3A,内阻约0.2Ω
电压表V:量程为0~3V、内阻为2kΩ
滑动变阻器R1:最大阻值约15Ω,允许最大电流2A
滑动变阻器R2:最大阻值约50Ω.允许最大电流1A
定值电阻R0:阻值为6kΩ
另有开关S,导线若干
(1)在虚线框内画出测量电路图,使测量尽可能准确、方便,并使通过滑动变阻器的电流不超过允许最大电流 (原理图中的元件要用题中相应的英文字母标注).
(2)测定该用电器额定功率时,应使电压表指针指在什么位置?在图甲上标出.
(3)若电流表的指针如图乙所示,则这时电流I=
 
A,由此可求得该用电器额定功率P=
 
W.
精英家教网

查看答案和解析>>

科目:高中物理 来源: 题型:阅读理解

I.某实验小组利用如图1所示的实验装置来验证钩码和滑块所组成的系统机械能守恒.实验前需要调整气垫导轨底座使之水平,用游标卡尺测得遮光条的宽度为d,实验时将滑块从图示位置由静止释放,由数字计时器读出遮光条通过光电门的时间△t.
(1)在本次实验中还需要测量的物理量有:钩码的质量m、
 
 
(用文字说明并用相应的字母表示).
(2)本实验通过比较
 
 
在实验误差允许的范围内相等(用测量的物理量符号表示),从而验证了系统的机械能守恒.
II.某实验小组探究一种热敏元件的电阻随温度变化的特性.现有器材:直流恒流电源(在正常工作状态下输出的电流恒定并且可读出其大小)、电压表、特测元件、保温容器、温度计、开关和导线等.
(1)若用上述器材测量该元件的阻值随温度变化的特性,请你在答题纸对应图2中用笔连线画出实物连接图.
(2)实验的主要步骤:
a正确连接电路,在保温容器中注入适量冷水,接通电源,调节并记录电源输出的电流值;
b在保温容器中添加少量热水,待温度稳定后,闭合开关,记录
 
 
,断开开关;
c重复第b步操作若干次,测得多组数据.
(3)实验小组测得该元件在不同温度下的阻值.并据此绘得上图3的R-t关系图线,请根据图线写出该元件的R-t关系式:R=
 

(4)由以上方法测得的电阻值比它的真实值偏
 

(5)如果实验室提供的恒定电流源的输出电流为65mA,但没有合适的电压表,应选用如下哪组器材测量热敏元件上的电压?
 
.(填序号)
A.电压表V1:量程3V、内阻3kΩ,定值电阻R1=6kΩ
B.电压表V2:量程5V、内阻5kΩ,定值电阻R2=10kΩ
C.电压表V3:量程10V、内阻10kΩ,定值电阻R3=1kΩ精英家教网

查看答案和解析>>

科目:高中物理 来源: 题型:

精英家教网某实验小组利用如图所示的装置进行“探究加速度与合外力的关系”的实验.
(1)在实验中必须消除摩擦力的影响,通常可以将木板适当倾斜,使小车在不受拉力作用时能在木板上近似做
 
运动.
(2)为了减小误差,在平衡摩擦力后,每次实验需通过改变钩码的个数来改变小车所受合外力,获取多组数据.若小车质量为400g,实验中每次所用的钩码总质量范围应选
 
组会比较合理.(填选项前的字母)
A.10g~40g     B.200g~400g      C.1000g~2000g
(3)图中给出的是实验中获取的纸带的一部分,A、B、C、D、E是计数点,每相邻两计数点间的时间间隔是0.1s,由该纸带可求得打点“C”时小车的速度vc=
 
m/s,小车的加速度a=
 
m/s2.(保留三位有效数字)
精英家教网

查看答案和解析>>

科目:高中物理 来源: 题型:

某实验小组利用如图所示的气垫导轨装置来探究合力一定时,物体的加速度与质量之间的关系.
精英家教网
(1)用游标卡尺测光电门遮光条的宽度d,图甲中游标卡尺读数为
 
cm.
(2)做实验时,将滑块从图示位置由静止释放,由数字计时器(图中未画出)可读出遮光条通过光电门1、2的时间分别为△t1、△t2;用刻度尺测得两个光电门中心之间的距 离x,用游标卡尺测得遮光条宽度d.则滑块经过光电门1时的速度表达式v1=
 
;滑块加速度的表达式a=
 
.(以上表达式均用已知字母表示)
(3)为了保持滑块所受的合力不变,可改变滑块质量M和气垫导轨右端高度h(见图).关于“改变滑块质量M和气垫导轨右端的高度h”的正确操作方法是
 

A.M增大时,h增大,以保持二者乘积增大
B.M增大时,h减小,以保持二者乘积不变
C.M减小时,h增大,以保持二者乘积不变
D.M减小时,h减小,以保持二者乘积减小
(4)如果实验想通过图象法进一步确认在合外力不变的情况下,物体运动的加速度跟物体的质量成反比,需建立
 
(选填“a-m”或“a=
1m
”)坐标系.

查看答案和解析>>

同步练习册答案