精英家教网 > 高中物理 > 题目详情
如图所示,水平桌面上有一轻弹簧,左端固定在A点,自然状态时其右端位于B点。水平桌面右侧有一竖直放置的光滑轨道MNP,其形状为半径R=0.8m的圆环剪去了左上角135°的圆弧,MN为其竖直直径,P点到桌面的竖直距离也是R。用质量m=0.2kg的物块将弹簧缓慢压缩到C点,BC间光滑,由静止释放,物块过B点后其位移与时间的关系为,物块飞离桌面后由P点沿切线落入圆轨道。g=10m/s2,求:
(1)物体在BD间运动的初速度和加速度;
(2)BP间的水平距离;
(3)判断m能否沿圆轨道到达M点,为什么?
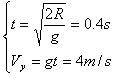
解:(1)由
对此有
(2)对P点

, ∴

平抛水平位移
 

(3)

∴不能通过最高点
练习册系列答案
相关习题

科目:高中物理 来源: 题型:

精英家教网如图所示,水平桌面上的A点处有一个质量为m的物体以初速度v0被抛出,不计空气阻力,当它到达B点时,以地面为零势能面,其机械能的表达式正确的是(  )
A、
1
2
m
v
2
0
+mgH
B、
1
2
m
v
2
0
+mgh
C、mgH-mgh
D、
1
2
m
v
2
0
+mg(H-h)

查看答案和解析>>

科目:高中物理 来源:2013年江苏省扬州市学业水平测试模拟物理试卷(二)(带解析) 题型:单选题

如图所示,水平桌面上的A点处有一个质量为m的物体以初速度v0被抛出,不计空气阻力,当它到达B点时,其动能的表达式正确的是(  )  

A.B.
C.mgH-mghD.

查看答案和解析>>

科目:高中物理 来源:2012-2013学年浙江省嵊泗中学高一下学期第二次月考物理试卷(带解析) 题型:单选题

如图所示,水平桌面上的A点处有一个质量为m的物体以初速度v0被抛出,不计空气阻力,当它到达B点时,其动能的表达式正确的(     )

A.B.
C.mgH-mghD.

查看答案和解析>>

科目:高中物理 来源:2015届浙江省高一下学期第二次月考物理试卷(解析版) 题型:选择题

如图所示,水平桌面上的A点处有一个质量为m的物体以初速度v0被抛出,不计空气阻力,当它到达B点时,其动能的表达式正确的(     )

A.                        B.

C.mgH-mgh                             D.

 

查看答案和解析>>

科目:高中物理 来源:2013年江苏省扬州市学业水平测试模拟物理试卷(二)(解析版) 题型:选择题

如图所示,水平桌面上的A点处有一个质量为m的物体以初速度v0被抛出,不计空气阻力,当它到达B点时,其动能的表达式正确的是(  )  

A.                       B.

C.mgH-mgh                             D.

 

查看答案和解析>>

同步练习册答案