精英家教网 > 高中物理 > 题目详情

如图所示电路中,电源电动势为30伏特,内阻为1欧姆,电容器电容C=1×10-5法拉.电阻R1R2=6欧姆,R3=4欧姆,R4R5=2欧姆,开关K闭合到电路稳定后,求:

(1)安培表的示数是多少?

(2)电容器C中充有电量是多少?

答案:
解析:

  K闭合电路稳定后,电容相当于开路.

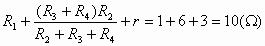
  总电阻R=

  I=30/10=3(A)(4分)

  安培表读数0.5 I=1.5 A 

  Q=21 V(4分)


练习册系列答案
相关习题

科目:高中物理 来源: 题型:

精英家教网如图所示电路中,电源内阻不能忽略,R1阻值等于滑动变阻器总阻值的
3
4
,当滑动变阻器的滑片P位于变阻器的中点时,电压表的示数为U,电流表的示数为I.那么,滑片P由中点向上移动的全过程中,下列说法中正确的是(  )
A、电压表的示数始终小于U
B、电流表的示数始终大于I
C、电压表的示数先增大后减小
D、电流表的示数先减小后增大

查看答案和解析>>

科目:高中物理 来源: 题型:

精英家教网在如图所示电路中,电源的电动势、内阻恒定,要想使电容器所带的电荷量增加,可以采取的办法是(  )
A、增大R2B、减小R2C、减小R1D、灯泡L短路

查看答案和解析>>

科目:高中物理 来源: 题型:

精英家教网在如图所示电路中,电源电动势为E、内阻为r,R2、R3、R4均为定值电阻,电表都为理想电表.闭合电键S,当滑动变阻器R1的滑片P向右移动时,下列说法中正确的是(  )

查看答案和解析>>

科目:高中物理 来源: 题型:

精英家教网在如图所示电路中,电源的电动势是E,内电阻是r,当滑动变阻器R3的滑动头向左移动时(  )
A、电阻R1的功率将减小B、电阻R2的功率将增大C、电源的功率将加大D、电源的效率将增加

查看答案和解析>>

科目:高中物理 来源: 题型:

精英家教网如图所示电路中,电源电动势E=12V,内阻r=2Ω,R1=4Ω,R2=6Ω,R3=3Ω.若在C、D问连接一个电表或用电器,则有(  )

查看答案和解析>>

同步练习册答案