精英家教网 > 高中物理 > 题目详情
一辆以12m/s的速度在水平路面行驶的汽车,刹车过程中以大小为4m/s2的加速度作匀变速直线运动,则汽车在5s内的位移是( )
A.10m
B.18m
C.50m
D.70m
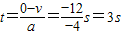
【答案】分析:先求出汽车刹车到停止所需的时间,因为汽车停止后不再运动,然后根据,求出汽车的位移.
解答:解:汽车刹车到停止所需的时间<5s
所以5s内的位移等于3s内的位移.
所以=18m.故B正确,A、C、D错误.
故选B.
点评:解决本题的关键知道汽车刹车停止后不再运动,以及掌握匀变速直线运动的位移时间公式
练习册系列答案
相关习题

科目:高中物理 来源: 题型:

一辆以12m/s的速度在水平路面上行驶的汽车,在刹车过程中以3m/s2的加速度做匀减速运动,汽车在前5s内的位移是
24
24
m.

查看答案和解析>>

科目:高中物理 来源: 题型:

一辆以12m/s的速度在水平路面行驶的汽车,刹车过程中以大小为4m/s2的加速度作匀变速直线运动,则汽车在5s内的位移是(  )

查看答案和解析>>

科目:高中物理 来源: 题型:

一辆以12m/s的速度在水平路面上行驶的汽车,在刹车过程中以3m/s2的加速度做匀减速运动,那么t=5s后的位移是(  )

查看答案和解析>>

科目:高中物理 来源: 题型:

一辆以12m/s的速度在水平路面行驶的汽车,刹车过程中以4m/s2的加速度作匀减速直线运动,则汽车在2s末的速度是(  )
A、1m/sB、2m/sC、3m/sD、4m/s

查看答案和解析>>

科目:高中物理 来源:2011年江西省高一物理第一学期第一次月考物理卷 题型:填空题

一辆以12m/s的速度在水平路面上行驶的汽车,在刹车过程中以3m/s2的加速度做匀减速运动,那么t=5s时物体的位移是_________m。停车前最后1秒内物体的位移是_________m。

 

查看答案和解析>>

同步练习册答案