精英家教网 > 高中物理 > 题目详情
下图是说明示波器工作原理的示意图,已知两平行板间的距离为d、板长为l电子经电压为U1的电场加速后从两平行板间的中央处垂直进入偏转电场.设电子质量为me、电荷量为e.  
(1)求经电场加速后电子速度v的大小. 
(2)要使电子离开偏转电场时的偏转角度最大,两平行板间的电压U2应是多少?
解:(1)电子经电压为U1的电场加速,根据动能定理:
则经电场加速后电子的速度
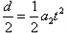
(2)电子离开偏转电场偏转角度最大时的偏转量为
电子受到偏转电场的电场力
电子沿偏转电场方向做初速度为零的匀加速直线运动,有
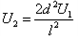
可解得两平行板间电压
练习册系列答案
相关习题

科目:高中物理 来源:江苏省启东中学2012届高三上学期期中考试物理试题 题型:038

下图是说明示波器工作原理的示意图,已知两平行板间的距离为d、板长为l电子经电压为U1的电场加速后从两平行板间的中央处垂直进入偏转电场.设电子质量为me、电荷量为e

(1)求经电场加速后电子速度v的大小.

(2)要使电子离开偏转电场时的偏转角度最大,两平行板间的电压U2应是多少?电子动能多大?

查看答案和解析>>

同步练习册答案