精英家教网 > 高中物理 > 题目详情
如图所示,在某空间实验室中,有两个靠在一起的等大的圆柱形区域,分别存在着等大反向的匀强磁场,磁感应强度B=0.10 T,磁场区域半径,左侧区域圆心为O1,磁场向里,右侧区域圆心为O2,磁场向外。两区域切点为C,今有质量m=3.2×10-26 kg,带电荷量q=1.6×10-19 C的某种粒子,从左侧区域边缘的A点以速度v=106m/s正对O1的方向垂直于磁场射入,它将穿越C点后再从右侧区域穿出。求:
(1)该粒子通过两磁场区域所用的时间;
(2)粒子离开右侧区域的出射点偏离最初入射方向的侧移距离为多大?(侧移距离指垂直于初速度方向上移动的距离)
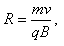
解:(1)粒子在磁场中做匀速圆周运动,在左右两区域的运动轨迹是对称的。如图所示,设轨迹半径为R,圆周运动的周期为T

由牛顿第二定律

联立①②得
将已知量代入③得R=2 m ⑤
由轨迹图知
则全段轨迹运动时间:
联立④⑥并代入已知量得:
(2)在图中过O2向AO1的延长线作垂线,根据轨迹对称关系,侧移总距离d=2rsin2θ=2 m
练习册系列答案
相关习题

科目:高中物理 来源: 题型:

某同学设想用带电粒子的运动轨迹做出“0”字样,首先,在真空空间的竖直平面内建立xoy坐标系,在x1=-0.1m和x2=0.1m处有两个与y轴平行的竖直界面PQ、MN把空间分成Ⅲ、Ⅱ、Ⅰ三个区域,在这三个区域中分别存在匀强磁场B3、B2、B1,其大小满足B2=2B3=2B1=0.02T,方向如图所示.在Ⅱ区域中的x轴上、下两侧还分别存在匀强电场E1、E2(图中未画出),忽略所有电、磁场的边缘效应,ABCD是以坐标原点O为中心对称的正方形,其边长a=0.2m.现在界面MN上的A点沿x轴正方向发射一个比荷q/m=1.0×108C/kg的带正电的粒子(其重力不计),粒子恰能沿图中实线运动,途经B、C、D三点后回到A点,做周期性运动,轨迹构成一个“0”字,已知粒子每次穿越Ⅱ区域时均作直线运动.试求:

(1)粒子自A点射出时的速度大小v0
(2)电场强度E1、E2的大小和方向;
(3)粒子作一次周期性运动所需的时间.

查看答案和解析>>

科目:高中物理 来源: 题型:

如图所示,S1、S2是两个频率相同的波源,它们发出的两列简谐横波在空间相遇,图中虚线和实线分别代表某时刻这两列波的波谷和波峰,则下列说法中正确的是(  )

查看答案和解析>>

科目:高中物理 来源: 题型:

(2009?日照一模)某同学设想用带电粒子的运动轨迹做出“0”、“8”字样,首先,如图甲所示,在真空空间的竖直平面内建立.roy坐标系,在y1=0.1m和y2=一0.1m处有两个与z轴平行的水平界面PQ和MN把空间分成I、Ⅱ、Ⅲ三个区域,在三个区域中分别存在匀强磁场B1、B2、B3其大小满足B=2=B1=2B3=0.02T,方向如图甲所示.在Ⅱ区域中的y轴左右两侧还分别存在匀强电场E1、E2(图中未画出),忽略所有电、磁场的边缘效应.ABCD是以坐标原点.为中心对称的正方形,其边长L=0.2m.现在界面PQ上的A处沿y轴正方向发射一比荷
qm
=108C/kg的带正电荷的粒子(其重力不计),粒子恰能沿图中实线途经BCD三点后回到A点并做周期性运动,轨迹构
成一个“0”字.已知粒子每次穿越Ⅱ区域时均做直线运动.
(1)求电场E1、E2的大小和方向.
(2)去掉Ⅱ和Ⅲ区域中的匀强电场和磁场,其他条件不变,仍在A处以相同的速度发射相同的粒子,使粒子运动的轨迹成为上、下对称的“8”字,且运动周期不变,请在答题纸中的乙图上Ⅱ和Ⅲ区域内重新设计适当的匀强电场或匀强磁场,并画出带电粒子的运动轨迹和你所设计的“场”.

查看答案和解析>>

科目:高中物理 来源:不详 题型:问答题

某同学设想用带电粒子的运动轨迹做出“0”字样,首先,在真空空间的竖直平面内建立xoy坐标系,在x1=-0.1m和x2=0.1m处有两个与y轴平行的竖直界面PQ、MN把空间分成Ⅲ、Ⅱ、Ⅰ三个区域,在这三个区域中分别存在匀强磁场B3、B2、B1,其大小满足B2=2B3=2B1=0.02T,方向如图所示.在Ⅱ区域中的x轴上、下两侧还分别存在匀强电场E1、E2(图中未画出),忽略所有电、磁场的边缘效应,ABCD是以坐标原点O为中心对称的正方形,其边长a=0.2m.现在界面MN上的A点沿x轴正方向发射一个比荷q/m=1.0×108C/kg的带正电的粒子(其重力不计),粒子恰能沿图中实线运动,途经B、C、D三点后回到A点,做周期性运动,轨迹构成一个“0”字,已知粒子每次穿越Ⅱ区域时均作直线运动.试求:

精英家教网

(1)粒子自A点射出时的速度大小v0
(2)电场强度E1、E2的大小和方向;
(3)粒子作一次周期性运动所需的时间.

查看答案和解析>>

科目:高中物理 来源:2008-2009学年江苏省淮安市淮阴区高二(上)期中物理试卷(解析版) 题型:解答题

某同学设想用带电粒子的运动轨迹做出“0”字样,首先,在真空空间的竖直平面内建立xoy坐标系,在x1=-0.1m和x2=0.1m处有两个与y轴平行的竖直界面PQ、MN把空间分成Ⅲ、Ⅱ、Ⅰ三个区域,在这三个区域中分别存在匀强磁场B3、B2、B1,其大小满足B2=2B3=2B1=0.02T,方向如图所示.在Ⅱ区域中的x轴上、下两侧还分别存在匀强电场E1、E2(图中未画出),忽略所有电、磁场的边缘效应,ABCD是以坐标原点O为中心对称的正方形,其边长a=0.2m.现在界面MN上的A点沿x轴正方向发射一个比荷q/m=1.0×108C/kg的带正电的粒子(其重力不计),粒子恰能沿图中实线运动,途经B、C、D三点后回到A点,做周期性运动,轨迹构成一个“0”字,已知粒子每次穿越Ⅱ区域时均作直线运动.试求:

(1)粒子自A点射出时的速度大小v
(2)电场强度E1、E2的大小和方向;
(3)粒子作一次周期性运动所需的时间.

查看答案和解析>>

同步练习册答案