精英家教网 > 高中物理 > 题目详情
如图所示(俯视图),相距为2L的光滑平行金属导轨水平放置,导轨的一部分处在以OO'为右边界的匀强磁场中,匀强磁场的磁感应强大小为B,方向垂直导轨平面向下,导轨右侧接有定值电阻R,导轨电阻忽略不计。在距边界OO'为L处垂直导轨放置一质量为m、电阻不计的金属杆ab。求解以下问题: 
(1)若金属杆ab固定在导轨上的初始位置,磁场的磁感应强度在时间t内由B均匀减小到0,求此过程中电阻R上产生的焦耳热Q1
(2)若磁场的磁感应强度不变,金属杆ab在恒力的作用下由静止开始向右运动3L的距离,其v-x图象如图乙所示。求:
①金属杆ab在刚要离开磁场时加速度的大小;  
②此过程中电阻R上产生的焦耳热Q2
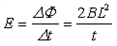
解:(1)感应电动势为
所以电阻R上产生的焦耳热为
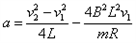
(2)①ab杆从L到3L的过程中,由动能定理得,
ab杆刚要离开磁场时,由牛顿第二定律可得,
由以上两式可得,
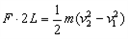
②由动能定理可得,
所以
练习册系列答案
相关习题

科目:高中物理 来源: 题型:

铁路上使用一种电磁装置向控制中心传输信号以确定火车的位置,磁铁能产生匀强磁场,被安装在火车首节车厢下面,如图所示(俯视图).当它经过安放在两铁轨间的线圈时,便会产生一电信号,被控制中心接收.当火车以恒定速度通过线圈时,表示线圈两端的电压随时间变化关系的图(  )

查看答案和解析>>

科目:高中物理 来源: 题型:

(2011?河西区二模)如图所示(俯视图),相距为2L的光滑平行金属导轨水平放置,导轨一部分处在以OO′为右边界的匀强磁场中,匀强磁场的磁感应强大小为B,方向垂直导轨平面向下,导轨右侧接有定值电阻R,导轨电阻忽略不计.在距边界OO′为L处垂直导轨放置一质量为m、电阻不计的金属杆ab.求解以下问题:
(1)若金属杆ab固定在导轨上的初始位置.磁场的磁感应强度在时间t内由B均匀减小到零.求此过程中电阻R上产生的焦耳热Ql
(2)若磁场的磁感应强度不变,金属杆ab在恒力作用下由静止开始向右运动3L距离,其V--X的关系图象如图乙所示.求:
①金属杆ab刚要离开磁场时的加速度大小;
②此过程中电阻R上产生的焦耳热Q2

查看答案和解析>>

科目:高中物理 来源: 题型:

精英家教网如图所示(俯视图),在水平向右的匀强电场中,一根轻杆可绕过O点的竖直轴在水平面内无摩擦转动,杆的两端各固定一个小球A、B.已知A球带电量为+q,B球带电量为+2q,A、B两球距O点的距离分别为2l、3l,匀强电场的电场强度为E.开始时,杆平行于场强方向,现在A球上施加一垂直于场强方向的水平恒力F,使轻杆逆时针方向转过30°时达到最大转速,求:
(1)恒力F的大小;
(2)系统由初始位置转过30°的过程中,电场力做的功WE

查看答案和解析>>

科目:高中物理 来源: 题型:

精英家教网空间内有两个沿竖直方向的有界匀强磁场I、II,磁感应强度大小均为B,宽度均为L,边界线平行,磁场I竖直向下,磁场II竖直向上,如图所示为俯视图.一边长为L、质量为m的正方形导线框abcd放在光滑绝缘的水平面上,在水平恒力F作用下沿水平面通过两个磁场区域.线框的bc边始终平行于磁场区的边界,力F垂直于bc边,当bc边进入磁场I时,线框恰以速度v0做匀速运动,此时线框中的电流为i0;当ad边将要离开磁场II时线框中的电流稍小于i0,则(  )

查看答案和解析>>

科目:高中物理 来源: 题型:

精英家教网在光滑绝缘水平面上,一个电阻为0.1Ω、质量为0.05kg的矩形金属框abcd以10m/s的初速度滑进一匀强磁场,ab边长0.1m,如图所示为俯视图.匀强磁场的磁感应强度B为0.5T,方向竖直向下,范围足够大.当金属框有一部分滑进磁场,产生了1.6J的热量时,对金属框施加一垂直于ab边的水平外力,使它开始做匀减速运动(计为t=0时刻),第3s末使金属框的速度变为零,此时cd边仍在磁场外.则t=1s时,水平外力F的大小是
 
N,t=2s时水平外力的方向是
 

查看答案和解析>>

同步练习册答案