精英家教网 > 高中物理 > 题目详情

土星外层上有一个环,为了判断它是土星的一部分还是土星的卫星群,可以测量环中各层的线速度v与该层到土星中心的距离R之间的关系来判断

[  ]

A.若,则该层是土星的一部分

B.若,则该层是土星的卫星群

C.若,则该层是土星的一部分

D.若,则该层是土星的卫星群

答案:AD
解析:

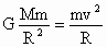
若为土星的一部分,则它们与土星绕同一圆心做匀速圆周运动,角速度相同,由v=ωRvR.若为土星的卫星群,则由.所以


练习册系列答案
相关习题

科目:高中物理 来源: 题型:

探测器探测到土星外层上有一个环.为了判断它是土星的一部分还是土星的卫星群,可以测量环中各层的线速度v与该层到土星中心的距离R之间的关系来确定(  )

查看答案和解析>>

科目:高中物理 来源: 题型:

土星外层上有一个环.为了判断它是土星的一部分还是土星的卫星群,可以测量环中各层的线速度V与该层到土星中心的距离R之间的关系来判断(  ):
(1)若V∝R,则该层是土星的一部分.(2)若V2∝R,则该层是土星的卫星群.
(3)若V∝
1
R
,则该层是土星的一部分.(4)若V2
1
R
,则该层是土星的卫星群.

查看答案和解析>>

科目:高中物理 来源: 题型:

土星外层上有一个环,为了判断它是土星的一部分还是土星的卫星群,可以测量环中各层的线速度v与该层到土星中心的距离R之间的关系来判断(    )

A.若v∝R,则该层是土星的一部分           B.若v2∝R,则该层是土星的卫星群

C.若v∝,则该层是土星的卫星群        D.若v2,则该层是土星的卫星群

查看答案和解析>>

科目:高中物理 来源: 题型:

土星外层上有一个环,为了判断它是土星的一部分还是土星的卫星群,可以测量环中各层的线速度v与该层到土星中心的距离R之间的关系来判断.

①若v ∝R,则该层是土星的一部分

②若v2∝R,则该层是土星的卫星群

③若v ∝1/R,则该层是土星的一部分

④若v2∝1/R,则该层是土星的卫星群

以上判断正确的是                            (   )

A. ①②      B. ③④      

C. ②③        D. ①④

查看答案和解析>>

科目:高中物理 来源:2014届浙江省高一下学期期中考试物理试卷(解析版) 题型:选择题

探测器探测到土星外层上有一个环.为了判断它是土星的一部分还是土星的卫星群,可以测量环中各层的线速度v与该层到土星中心的距离R之间的关系来确定   (    )

A.若v2∝R,则该环是土星的一部分

B.若v2∝R,则该环是土星的卫星群

C.若v∝1/R,则该环是土星的一部分

D.若v2∝1/R,则该环是土星的卫星群

 

查看答案和解析>>

同步练习册答案