精英家教网 > 高中物理 > 题目详情
在“利用自由落体运动验证机械能守恒定律”的实验中,打点计时器所接电源的频率为50Hz,所打纸带如图所示。若通过测量纸带上某两个点的间距计算瞬时速度来进行验证,设已测得点2到点4的间距为s1,点O到点3的间距为S2,打点周期为T,为了验证重物开始下落到打点计时器打下点3这段时间内机械能守恒,实验后,s1,s2和T应满足的关系为T=____ 。
练习册系列答案
相关习题

科目:高中物理 来源: 题型:

在利用自由落体运动验证机械能守恒定律的实验中:若打点计时器所接交流电的频率为50赫兹,甲、乙两条实验纸带,如图所示,应选
纸带好.若已知打点计时器接在电压为U,频率为f的交流电源上,从 实验中打出的几条纸带中选出一条理想纸带,如图所示,选取纸带上打出的连续5个点A、B、C、D、E,测出A点距起始点的距离为S0,点AC间的距离为S1,点CE间的距离为S2,已知重锤的质量为m,当地的重力加速度为g,则:
①起始点O到打下C点的过程中,重锤重力势能的减少量为△EP=
mg(s0+s1
mg(s0+s1
,重锤动能的增加量为△EK=
m(s1+s2)2f2
32
m(s1+s2)2f2
32

②根据题中提供的条件,还可利用重锤下落求出当地的重力加速度g=
s2-s1
4
f2
s2-s1
4
f2
,经过计算可知,测量值比当地重力加速度的真实值要小,其主要原因是:
纸带与限位孔之间的摩擦力(或纸带与其它部分的阻力或摩擦阻力)
纸带与限位孔之间的摩擦力(或纸带与其它部分的阻力或摩擦阻力)

查看答案和解析>>

科目:高中物理 来源: 题型:

在利用自由落体运动验证机械能守恒定律的实验中,有如下可供选择的实验器材:重物、打点计时器、纸带、秒表、导线,其中不必要的器材是
秒表
秒表
.如果某次实验打出的纸带如图所示,并已知相邻两个计数点之间的时间间隔为0.04s,所用重物的质量为0.20kg.则打C点时重物的动能为
0.63
0.63
J,从O点到C点减少的重力势能为
0.64
0.64
J.(取重力加速度g=9.80m/s2,计算结果请保留两位有效数字)

查看答案和解析>>

科目:高中物理 来源: 题型:

在利用自由落体运动验证机械能守恒定律的实验中,电源的频率为50Hz,依次打出的点为0,1,2,3,4,…,n.则:

①在图中所示的两条纸带中应选取的纸带是
a
a
,原因是
前两点的距离接近2mm,近似于自由落体运动.
前两点的距离接近2mm,近似于自由落体运动.

②如用从起点0到第3点之间来验证,必须直接测量的物理量为
点0到点3的距离h3,点2至点4的距离h24
点0到点3的距离h3,点2至点4的距离h24
,必须计算出的物理量为
点3的瞬时速度v3
点3的瞬时速度v3
,验证的表达式为
mgh3=
1
2
m
v
2
3
mgh3=
1
2
m
v
2
3

③下列实验步骤操作合理的顺序排列是
ADBCEF
ADBCEF
_(填写步骤前面的字母)
A.将打点计时器竖直安装在铁架台上,
B.接通电源,再松开纸带,让重物自由下落,
C.取下纸带,更换新纸带(或将纸带翻个面)重新做实验,
D.将重物固定在纸带的一端,让纸带穿过打点计时器,用手提纸带,
E.选择一条纸带,用刻度尺测出物体下落的高度h1,h2,h3,…hn,计算出对应的瞬时速度v1,v2,v3,…,vn
F.分别算出
1
2
mvn2和mghn,在实验误差范围内看是否相等.
④本实验中,计算出从0点到某点重力势能的减少量与动能的增加量相比较,是偏小还是偏大?请写出减少偏差的实验改进措施.

查看答案和解析>>

科目:高中物理 来源: 题型:

(1)现行高中物理教材的学生实验中,提供了重锤线的是
AC
AC

A、研究平抛物体的运动    B、验证机械能守恒定律
C、验证动量守恒定        D、用单摆测定重力加速度
(2)在利用自由落体运动验证机械能守恒定律的实验中:若打点计时器所接交流电的频率为50赫兹,甲、乙两条实验纸带,如图1所示,应选
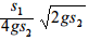
纸带好.若已测得点2到4间距离为s1,点0到3间距离为s2,打点周期为T,验证重物开始下落到打点计时器打下点3这段时间内机械能守恒,s1、s2和T应满足的关系为T=
S1
2
2gS2
S1
2
2gS2


(3)影响物质材料电阻率的因素很多.一般金属材料的电阻率随温度的升高增大,而半导体材料的电阻率则随温度的升高而减小.某校研究性学习小组为了研究某种导电材料的导电特性,他们用该种材料制作成电阻值较小的线状元件z做实验,所用电压表的量程为3V,电流表的量程为3A,测得元件Z中的电流与相应电压的9组数据标在I-U图上.
①他们进行实验应选用的实物电路图是图2中的
C
C


②在交流评价过程中某同学提出,有2组实验数据存在明显的错误,你认为是
C、D
C、D
(只需填上与该数据对应的点O、A、B…)
③请在图3上画出元件Z的伏安特性曲线,判断元件Z是
半导体
半导体
材料(“金属”或“半导体”).

查看答案和解析>>

科目:高中物理 来源: 题型:

精英家教网在利用自由落体运动验证机械能守恒定律的实验中,
(1)若应用公式v=gt计算即时速度进行验证,打点计时器所接交流电的频率为50赫兹,甲、乙两条实验纸带,如图所示,应选
 
纸带好.
(2)若通过测量纸带上某两点间距离来计算即时速度,进行验证,设已测得点2到4间距离为s1,点0到3间距离为s2,打点周期为T,为验证重物开始下落到打点计时器打下点3这段时间内机械能守恒、实验后,s1、s2和T应满足的关系为T=
 

查看答案和解析>>

同步练习册答案