精英家教网 > 高中物理 > 题目详情
一水平放置的圆环形钢性窄槽固定在桌面上,槽内嵌着三个大小相同的钢性小球,它们的质量分别为m1、m2、m3,且m2=m3=2m1。小球与槽的两壁刚好接触且不计所有摩擦。起初三个小球处于如图所示的等间距的Ⅰ、Ⅱ、Ⅲ三个位置,m2、m3静止,m1以初速度v0沿槽运动,R为圆环内半径与小球半径之和。已知m1以v0与静止的m2碰撞之后,m2的速度大小为2v0/3;m2与m3碰撞之后二者交换速度;m3与m1之间的碰撞为弹性碰撞。求此系统的运动周期T。
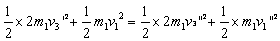
解:设经过相碰, 
碰撞之后两球的速度分别为,在碰撞过程中由动量守恒定律得:
 
,求得,方向与碰前速度方向相反
经过相碰, 
碰撞之后两球的速度分别为,因在碰撞后交换速度
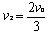
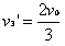
所以
由碰后速度关系知,碰撞的位置在Ⅰ位置,设经过相碰, 
碰撞后的速度分别为,由动量守恒和机械能守恒定律可得:
 
 
联立得:(舍)
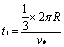
碰后经回到Ⅱ位置, 
至此,三个小球相对于原位置分别改变了120°,且速度与最初状态相同。故再经过两个相同的过程,即完成一个系统的运动周期
练习册系列答案
相关习题

科目:高中物理 来源: 题型:

(2011?湖北二模)一水平放置的圆环形刚性窄槽固定在桌面上,槽内嵌着三个大小相同的刚性小球,它们的质量分别为m1、m2、m3,且m2=m3=2m1.小球与槽的两壁刚好接触且不计所有摩擦.起初三个小球处于如图所示的等兼具的Ⅰ、Ⅱ、Ⅲ三个位置,m2、m3静止,m1以初速度v0=
πR
2
沿槽运动,R为圆环内半径与小球半径之和.已知m1以v0与静止的m2碰撞之后,m2的速度大小为
2v0
3
;m2与m3碰撞之后二者交换速度;m3与m1之间的碰撞为弹性碰撞.求此系统的运动周期T.

查看答案和解析>>

科目:高中物理 来源:河北省冀州中学2011届高三上学期期末考试物理试题 题型:038

一水平放置的圆环形钢性窄槽固定在桌面上,槽内嵌着三个大小相同的钢性小球,它们的质量分别为m1m2m3,且m2m3=2m1.小球与槽的两壁刚好接触且不计所有摩擦.起初三个小球处于如图所示的等间距的Ⅰ、Ⅱ、Ⅲ三个位置,m2m3静止,m1以初速度v0沿槽运动,R为圆环内半径与小球半径之和.已知m1v0与静止的m2碰撞之后,m2的速度大小为2v0/3;m2m3碰撞之后二者交换速度;m3m1之间的碰撞为弹性碰撞.求此系统的运动周期T

查看答案和解析>>

科目:高中物理 来源: 题型:

一水平放置的圆环形刚性窄槽固定在桌面上,槽内嵌着三个大小相同的刚性小球,它们的质量分别为m1、m2、m3,且m2=m3= 2m1.小球与槽的两壁刚好接触且不计所有摩擦。起初三个小球处于如图- 25所示的等间距的I、II、III三个位置,m2、m3静止,m1以初速度沿槽运动,R为圆环内半径与小球半径之和。已知m1以v0与静止的m2碰撞之后,m2的速度大小为2v0/3;m2与m3碰撞之后二者交换速度;m3与m1之间的碰撞为弹性碰撞:求此系统的运动周期T.

查看答案和解析>>

科目:高中物理 来源:2011届湖北省部分重点中学高三第二次联考理综)物理部分 题型:计算题

一水平放置的圆环形刚性窄槽固定在桌面上,槽内嵌着三个大小相同的刚性小球,它们的质量分别为m1、m2、m3,且m2=m3= 2m1.小球与槽的两壁刚好接触且不计所有摩擦。起初三个小球处于如图- 25所示的等间距的I、II、III三个位置,m2、m3静止,m1以初速度沿槽运动,R为圆环内半径与小球半径之和。已知m1以v0与静止的m2碰撞之后,m2的速度大小为2v0/3;m2与m3碰撞之后二者交换速度;m3与m1之间的碰撞为弹性碰撞:求此系统的运动周期T.

查看答案和解析>>

同步练习册答案