ÈçÏÂͼËùʾ£¬ABÁ½µØ¼äÆÌÓÐͨѶµçÀ£¬³¤ÎªL£¬ËüÊÇÓÉÁ½Ìõ²¢ÔÚÒ»Æð±Ë´Ë¾øÔµµÄ¾ùÔȵ¼Ïß×é³ÉµÄ£¬Í¨³£³ÆÎªË«ÏßµçÀ£®ÔÚÒ»´ÎʹÊÖо¼ì²é¶Ï¶¨ÊǵçÀÂÉÏij´¦µÄ¾øÔµ±£»¤²ãË𻵣¬µ¼ÖÂÁ½µ¼ÏßÖ®¼ä©µç£¬Ï൱Óڸô¦µçÀµÄÁ½µ¼ÏßÖ®¼ä½ÓÁËÒ»¸öµç×裮¼ì²éÈËÔ±¾¹ýÏÂÃæµÄ²âÁ¿¿ÉÒÔÈ·¶¨Ë𻵴¦µÄλÖãº
(1)ÁîB¶ËµÄË«Ïß¶Ï¿ª£¬ÔÚA´¦²â³öË«ÏßÁ½¶Ë¼äµÄµç×èRA£»
(2)ÁîA¶ËµÄË«Ïß¶Ï¿ª£¬ÔÚB´¦²â³öË«ÏßÁ½¶ËµÄµç×èRB£»
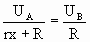
(3)ÔÚA¶ËµÄË«Ïß¼ä¼ÓÒ»ÒÑÖªµçѹUA£¬ÔÚB¶ËÓÃÄÚ×èºÜ´óµÄµçѹ±í²â³öÁ½Ïß¼äµÄµçѹUB£®
ÊÔÓÉÒÔÉϲâÁ¿½á¹ûÈ·¶¨Ë𻵴¦µÄλÖã®
|
¡¡ÉèË«ÏßµçÀÂÿµ¥Î»³¤¶ÈµÄµç×èΪr£¬Â©µç´¦µç×èΪR£¬Â©µç´¦¾àAΪx£¬ÌâÉè²âÁ¿¹ý³Ì¿ÉÓÃÈçͼµç·±íʾ£¬
Ôò ¡¡¡¡ RA£½rx£«R£»
¡¡¡¡ RB£½r(L-x)£«R£® µ± ¡¡¡¡
ÁªÁ¢½âµÃ x£½ |
| Äê¼¶ | ¸ßÖÐ¿Î³Ì | Äê¼¶ | ³õÖÐ¿Î³Ì |
| ¸ßÒ» | ¸ßÒ»Ãâ·Ñ¿Î³ÌÍÆ¼ö£¡ | ³õÒ» | ³õÒ»Ãâ·Ñ¿Î³ÌÍÆ¼ö£¡ |
| ¸ß¶þ | ¸ß¶þÃâ·Ñ¿Î³ÌÍÆ¼ö£¡ | ³õ¶þ | ³õ¶þÃâ·Ñ¿Î³ÌÍÆ¼ö£¡ |
| ¸ßÈý | ¸ßÈýÃâ·Ñ¿Î³ÌÍÆ¼ö£¡ | ³õÈý | ³õÈýÃâ·Ñ¿Î³ÌÍÆ¼ö£¡ |
¹ú¼ÊѧУÓÅÑ¡ - Á·Ï°²áÁбí - ÊÔÌâÁбí
ºþ±±Ê¡»¥ÁªÍøÎ¥·¨ºÍ²»Á¼ÐÅÏ¢¾Ù±¨Æ½Ì¨ | ÍøÉÏÓк¦ÐÅÏ¢¾Ù±¨×¨Çø | µçÐÅթƾٱ¨×¨Çø | ÉæÀúÊ·ÐéÎÞÖ÷ÒåÓк¦ÐÅÏ¢¾Ù±¨×¨Çø | ÉæÆóÇÖȨ¾Ù±¨×¨Çø
Î¥·¨ºÍ²»Á¼ÐÅÏ¢¾Ù±¨µç»°£º027-86699610 ¾Ù±¨ÓÊÏ䣺58377363@163.com