精英家教网 > 高中物理 > 题目详情
在“探究恒力做功与动能改变的关系”实验中,某实验小组采用如图甲所示的装置。实验步骤如下:

(1)把纸带的一端固定在小车的后面,另一端穿过打点计时器;
(2)改变木板的倾角,以重力的一个分力平衡小车及纸带受到的摩擦力;
(3)用细线将木板上的小车通过一个定滑轮与悬吊的砂桶相连;
(4)接通电源,放开小车,让小车拖着纸带运动,打点计时器就在纸带上打下一系列的点;
(5)测出s,s1,s2(如图乙所示),查得打点周期为T。
判断重力的一个分力是否已与小车及纸带受到的摩擦力平衡的直接证据是____。本实验还需直接测量的物理量是____(并用相应的符号表示)。探究结果的表达式是____(用相应的符号表示)。
纸带上点迹间距相等;小车的质量M,砂桶的质量m;mgs=
练习册系列答案
相关习题

科目:高中物理 来源: 题型:

在探究“恒力做功与动能改变的关系”的实验中,某同学用1kg的小车,在平衡摩擦力之后,挂上40g的小砂桶后,小车拖动纸带并打出一系列的点.图中的纸带只是打出的纸带的一部分,所标注的点是计时器每打5点所取的一个计数点,测量数据如图.则:(所用交流电的频率为50Hz,重力加速度g=9.80m/s2
(1)b点所对应的小车运动的动能为
0.057
0.057
J;
(2)从b点到e点,小车动能的增加量为
0.051
0.051
J;
(3)从b点到e点,砂桶对小车做功
0.051
0.051
J.

查看答案和解析>>

科目:高中物理 来源: 题型:

在探究“恒力做功与动能改变的关系”的实验中,某同学采用如下图装置,小车质量M,在平衡摩擦力之后,挂上重物m后,小车拖动纸带并打出一系列的点.图中的纸带只是打出的纸带的一部分,所标注的点相邻两点的时间间隔为T.使用毫米刻度尺进行测量后,将数据记录在图中.则:(重力加速度为g)

(1)若在该实验装置中绳子对小车的拉力取为mg,则小车质量M与所挂重物质量m应满足什么关系
B
B

A、M>m      B、M>>m      C、M<m        D、M<<m
(2)若小车质量M和重物质量m满足(1)中条件,请用题目所给各个物理量的符号计算下面问题:
b点所对应的小车运动的动能为
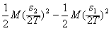
M(s1+s2)2
8T2
M(s1+s2)2
8T2

从b点到e点,小车动能的增加量为
M[(s4+s5)2-(s1+s2)2]
8T2
M[(s4+s5)2-(s1+s2)2]
8T2

从b点到e点,重物对小车做功
mg(s2+s3+s4
mg(s2+s3+s4

查看答案和解析>>

科目:高中物理 来源: 题型:阅读理解

(1)在“探究恒力做功与动能改变的关系”实验中,某实验小组采用如图甲所示的装置.实验步骤如下:精英家教网
①把纸带的一端固定在小车的后面,另一端穿过打点计时器
②改变木板的倾角,以重力的一个分力平衡小车及纸带受到的摩擦力
③用细线将木板七的小车通过-个定滑轮与悬吊的托盘相连
④接通电源,放开小车,让小车拖着纸带运动,打点计时器就在纸带上打下一系列的点
⑤测出s、s1、s2 (如图乙所示),查得打点周期为T
判断已平衡摩擦力的直接证据是
 
;本实验还需直接测量的物理量是:
 
.(并用相应的符号表示)
探究结果的表达式是
 
.(用相应的符号表示)
(2)利用本装置还可以测量滑块与木板之间的动摩擦因数.将小车换成滑块,木板平放在水平桌面上,打点计时器使用的交流电源的频率为50Hz.开始实验时,在托盘中放人适量砝码,滑块开始做匀加速运动,在纸带上打出一系列小点.
精英家教网
①上图给出的是实验中获取的一条纸带的一部分:0、l、2、3、4、5、6、7是计数点,每相邻两计数点间还有4个打点(图中未标出),计数点间的距离如图所示.根据图中数据计算的加速度α=
 
(保留三位有效数字).
②为测量动摩擦因数,下列物理量中还应测量的有
 
.(填入所选物理量前的字母)
A、木板的长度l
B、木板的质量m1
C、滑块的质量m2
D、托盘和砝码的总质量m3
E、滑块运动的时间t
测量上述所选定的物理量时需要的实验器材是
 

③滑块与木板间的动摩擦因数μ=
 
(用被测物理量的字母表示,重力加速度为g).

查看答案和解析>>

科目:高中物理 来源:2011-2012学年海南省海南中学高一下学期期中考试物理试卷(带解析) 题型:实验题

在探究“恒力做功与动能改变的关系”的实验中,某同学用1kg的小车,在平衡摩擦力之后,挂上44g的小砂桶后,小车拖动纸带并打出一系列的点。图4中的纸带只是打出的纸带的一部分,相邻计数点时间间隔为0.10s,测量数据如图4所示。(重力加速度g =9.80m/s2;)则:(结果保留两位有效数字)

(1)b点所对应的小车运动的动能为         J;
(2)从b点到e点,小车动能的增加量为         J;
(3)从b点到e点,砂桶对小车做功          J。

查看答案和解析>>

科目:高中物理 来源:2014届海南省高一下学期期中考试物理试卷(解析版) 题型:实验题

在探究“恒力做功与动能改变的关系”的实验中,某同学用1kg的小车,在平衡摩擦力之后,挂上44g的小砂桶后,小车拖动纸带并打出一系列的点。图4中的纸带只是打出的纸带的一部分,相邻计数点时间间隔为0.10s,测量数据如图4所示。(重力加速度g =9.80m/s2;)则:(结果保留两位有效数字)

(1)b点所对应的小车运动的动能为          J;

(2)从b点到e点,小车动能的增加量为          J;

(3)从b点到e点,砂桶对小车做功           J。

 

查看答案和解析>>

同步练习册答案