精英家教网 > 高中物理 > 题目详情

以往我们认识的光电效应是单光子光电效应,即一个电子在极短时间内只能吸收到一个光子而从金属表面逸出。强激光的出现丰富了人们对于光电效应的认识,用强激光照射金属,由于其光子密度极大,一个电子在极短时间内吸收多个光子成为可能,从而形成多光子光电效应,这已被实验证实。

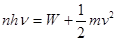
光电效应实验装置示意如图。用频率为ν的普通光源照射阴极k,没有发生光电效应,换同样频率为ν的强激光照射阴极k,则发生了光电效应;此时,若加上反向电压U,即将阴极k接电源正极,阳极A接电源负极,在kA之间就形成了使光电子减速的电场,逐渐增大U,光电流会逐渐减小;当光电流恰好减小到零时,所加反向电压U不可能是下列的(其中W为逸出功,h为普朗克常量,e为电子电量)   

A. U=-          B. U=2-      C.U=2hν-W        D. U=-

 

【答案】

ACD

【解析】

试题分析:设电子吸收n个光子发生光电效应(n为大于1的整数),则,而,所以解得。因为n=1时不能发生光电效应,所以A错误;n只能为整数,所以D错误。此题答案选项ACD。

考点:光电效应现象及光电管。

 

练习册系列答案
相关习题

科目:高中物理 来源: 题型:

精英家教网以往我们认识的光电效应是单光子光电效应,即一个电子在极短时间内只能吸收到一个光子而从金属表面逸出.强激光的出现丰富了人们对于光电效应的认识,用强激光照射金属,由于其光子密度极大,一个电子在极短时间内吸收多个光子成为可能,从而形成多光子电效应,这已被实验证实.
光电效应实验装置示意如图.用频率为ν的普通光源照射阴极K,没有发生光电效应.换用同样频率为ν的强激光照射阴极K,则发生了光电效应;此时,若加上反向电压U,即将阴极K接电源正极,阳极A接电源负极,在KA之间就形成了使光电子减速的电场,逐渐增大U,光电流会逐渐减小;当光电流恰好减小到零时,所加反向电压U可能是下列的(其中W为逸出功,h为普朗克常量,e为电子电量)(  )

查看答案和解析>>

科目:高中物理 来源:2013-2014学年高考物理万卷检测:专题十四 波粒二象性及原子结构(解析版) 题型:选择题

以往我们认识的光电效应是单光子光电效应,即一个电子在短时间内能吸收到一个光子而从金属表面逸出。强激光的出现丰富了人们对于光电效应的认识,用强激光照射金属,由于其光子密度极大,一个电子在短时间内吸收多个光子成为可能,从而形成多光子电效应,这已被实验证实。光电效应实验装置示意如图。用频率为v的普通光源照射阴极k,没有发生光电效应,换同样频率为v的强激光照射阴极k,则发生了光电效应;此时,若加上反向电压U,即将阴极k接电源正极,阳极A接电源负极,在kA之间就形成了使光电子减速的电场,逐渐增大U,光电流会逐渐减小;当光电流恰好减小到零时,所加反向电压U可能是下列的(其中W为逸出功,h为普朗克常量,e为电子电量)

A????? B ????? C ????? D

 

查看答案和解析>>

科目:高中物理 来源:2013年全国普通高等学校招生统一考试理科综合能力测试物理(北京卷解析版) 题型:选择题

以往我们认识的光电效应是单光子光电效应,即一个电子极短时间内能吸收到一个光子而从金属表面逸出。强激光的出现丰富了人们对于光电效应的认识,用强激光照射金属,由于其光子密度极大,一个电子在短时间内吸收多个光子成为可能,从而形成多光子电效应,这已被实验证实。光电效应实验装置示意如图。用频率为v的普通光源照射阴极k,没有发生光电效应,换同样频率为v的强激光照射阴极k,则发生了光电效应;此时,若加上反向电压U,即将阴极k接电源正极,阳极A接电源负极,在kA之间就形成了使光电子减速的电场,逐渐增大U,光电流会逐渐减小;当光电流恰好减小到零时,所加反向电压U可能是下列的(其中W为逸出功,h为普朗克常量,e为电子电量)

A.U=-        B.U=-       C.U=2hv-W          D.U=-

 

查看答案和解析>>

科目:高中物理 来源:2013年北京市高考物理试卷(解析版) 题型:选择题

以往我们认识的光电效应是单光子光电效应,即一个电子在极短时间内只能吸收到一个光子而从金属表面逸出.强激光的出现丰富了人们对于光电效应的认识,用强激光照射金属,由于其光子密度极大,一个电子在极短时间内吸收多个光子成为可能,从而形成多光子电效应,这已被实验证实.
光电效应实验装置示意如图.用频率为ν的普通光源照射阴极K,没有发生光电效应.换用同样频率为ν的强激光照射阴极K,则发生了光电效应;此时,若加上反向电压U,即将阴极K接电源正极,阳极A接电源负极,在KA之间就形成了使光电子减速的电场,逐渐增大U,光电流会逐渐减小;当光电流恰好减小到零时,所加反向电压U可能是下列的(其中W为逸出功,h为普朗克常量,e为电子电量)( )

A.
B.
C.U=2hν-W
D.

查看答案和解析>>

同步练习册答案