精英家教网 > 高中物理 > 题目详情
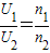
通过实验归纳分析U1、U2和n1、n2之间的关系
    时,该变压器为降压变压器;当    时,该变压器为升压变压器.
【答案】分析:根据变压器电压比等于匝数比,即.当n1>n2时,U1>U2.n1<n2时,U1<U2
解答:解:根据变压器电压比等于匝数比,即:
匝数多的一侧,电压就高,所以当n1>n2时,U1>U2,输入电压比输出电压大,为降压变压器.
当n1<n2时,U1<U2,输入电压比输出电压小,为升压变压器.
故答案为:n1>n2,n1<n2
点评:此题要求理解,并且能理解某一侧匝数多,这一侧电压大,某一侧匝数少,这一侧电压低.此题属于基础题.
练习册系列答案
相关习题

科目:高中物理 来源: 题型:

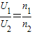
通过实验归纳分析U1、U2和n1、n2之间的关系
n1>n2
n1>n2
时,该变压器为降压变压器;当
n1<n2
n1<n2
时,该变压器为升压变压器.

查看答案和解析>>

同步练习册答案