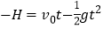
¡¾ÌâÄ¿¡¿ÈçͼËùʾ£¬Á½¶Ëµã·Ö±ðΪ A¡¢B£¬³¤ L=1m µÄ½ðÊôϸ¸ËÔÚ¾àµØÃæ H=40m ´¦ÒÔ v0=10m/s ÊúÖ±ÉÏÅ×£¬Í¬Ê± ÔÚ AB ÉÏ·½ÂÔ΢´í¿ªµÄÊúÖ±ÏßÉÏ h ´¦ÓÐÒ»¿ÉÊÓΪÖʵãµÄСÇò C Óɾ²Ö¹ÊÍ·Å£¬²»¼Æ¿ÕÆø×èÁ¦¼°Â䵨ºóµÄ Ô˶¯£¬g È¡10m/s2£¬Ôò¿ÉÖª£¨ £©
![]()
A. ¸ËÄÜÉÏÉýµÄ×î´óÎ»ÒÆÎª10m
B. ¸Ë´ÓÅ׳öµ½Â䵨¹²ÓÃʱ4s
C. Èô h=15m£¬ÔòCÓëAÏàÓöʱ¸ËµÄËÙ¶È·½ÏòÏòÏ£¬Óë¸ËÏàÓö¹²ÓÃʱ 0.1s
D. Èô h=25m£¬ÔòCÓëAÏàÓöʱ¸ËµÄËÙ¶È·½ÏòÏòÏ£¬Óë¸ËÏàÓö¹²ÓÃʱ 0.1s
¡¾´ð°¸¡¿BCD
¡¾½âÎö¡¿
ÊÔÌâ¸ËÄÜÉÏÉýµÄ×î´óÎ»ÒÆÎª
£¬Ñ¡ÏîA´íÎ󣻸ù¾Ý
£¬¼´
£¬½âµÃt=4s£¬¹ÊÑ¡ÏîBÕýÈ·£»CÓëAÏàÓöʱÂú×㣺
£¬½âµÃt=1.4s£¬´Ëʱ¸ËµÄËÙ¶Èv=v0-gt=-4m/s£¬·½ÏòÏòÏ£»ÎïÌåµÄËÙ¶ÈΪv1=gt=14m/s£¬·½ÏòÏòÏ£»Á½ÎïÌåµÄÏà¶ÔËÙ¶ÈΪvÏà¶Ô=14m/s-4m/s=10m/s£¬ÏàÓöµÄʱ¼äΪ
£¬Ñ¡ÏîCÕýÈ·£»Í¬Àí£¬Èôh=25m,ÔòCÓëAÏàÓöʱÂú×㣺
£¬½âµÃt=2.4s£¬´Ëʱ¸ËµÄËÙ¶Èv=v0-gt=-14m/s£¬·½ÏòÏòÏ£»ÎïÌåµÄËÙ¶ÈΪv1=gt=24m/s£¬·½ÏòÏòÏ£»Á½ÎïÌåµÄÏà¶ÔËÙ¶ÈΪvÏà¶Ô=24m/s-14m/s=10m/s£¬ÏàÓöµÄʱ¼äΪ
£¬Ñ¡ÏîDÕýÈ·£»¹ÊÑ¡BCD.
| Äê¼¶ | ¸ßÖÐ¿Î³Ì | Äê¼¶ | ³õÖÐ¿Î³Ì |
| ¸ßÒ» | ¸ßÒ»Ãâ·Ñ¿Î³ÌÍÆ¼ö£¡ | ³õÒ» | ³õÒ»Ãâ·Ñ¿Î³ÌÍÆ¼ö£¡ |
| ¸ß¶þ | ¸ß¶þÃâ·Ñ¿Î³ÌÍÆ¼ö£¡ | ³õ¶þ | ³õ¶þÃâ·Ñ¿Î³ÌÍÆ¼ö£¡ |
| ¸ßÈý | ¸ßÈýÃâ·Ñ¿Î³ÌÍÆ¼ö£¡ | ³õÈý | ³õÈýÃâ·Ñ¿Î³ÌÍÆ¼ö£¡ |
¿ÆÄ¿£º¸ßÖÐÎïÀí À´Ô´£º ÌâÐÍ£º
¡¾ÌâÄ¿¡¿ÈçͼËùʾ£¬Ò»Ð¡Çò×ÔAµãÓɾ²Ö¹¿ªÊ¼×ÔÓÉÏÂÂ䣬µ½´ïBµãʱÓ뵯»É½Ó´¥£¬µ½Cµãʱµ¯»É±»Ñ¹ËõÖÁ×î¶Ì£®Èô²»¼Æµ¯»ÉµÄÖÊÁ¿ºÍ¿ÕÆø×èÁ¦£¬ÔÚСÇòÓÉAÖÁBµ½CµÄÔ˶¯¹ý³ÌÖÐ
![]()
A. СÇòÔÚBµãʱ¶¯ÄÜ×î´ó
B. СÇòµÄ»úеÄÜÊØºã
C. СÇòÓÉBµ½CµÄ¼ÓËÙ¶ÈÏȼõСºóÔö´ó
D. СÇòÓÉBµ½CµÄ¹ý³ÌÖУ¬¶¯ÄܵļõÉÙÁ¿µÈÓÚµ¯»Éµ¯ÐÔÊÆÄܵÄÔö¼ÓÁ¿
²é¿´´ð°¸ºÍ½âÎö>>
¿ÆÄ¿£º¸ßÖÐÎïÀí À´Ô´£º ÌâÐÍ£º
¡¾ÌâÄ¿¡¿ÈçͼËùʾ£¬½«Æ½ÐаåµçÈÝÆ÷½ÓÔÚµç³Ø×éÁ½¼«¼ä£¬Á½°å¼äµÄ´øµç³¾°£Ç¡ºÃ´¦ÓÚ¾²Ö¹×´Ì¬¡£Èô½«Á½°å»ºÂýµØ´í¿ªÒ»Ð©£¬ÆäËûÌõ¼þ²»±ä£¬Ôò(¡¡¡¡)
![]()
A. µçÈÝÆ÷´øµçºÉÁ¿²»±ä
B. µçÔ´Öн«ÓеçÁ÷´ÓÕý¼«Á÷³ö
C. ³¾°£ÈÔ¾²Ö¹
D. µçÁ÷¼ÆÖн«ÓеçÁ÷£¬µçÁ÷·½Ïòb¡úa
²é¿´´ð°¸ºÍ½âÎö>>
¿ÆÄ¿£º¸ßÖÐÎïÀí À´Ô´£º ÌâÐÍ£º
¡¾ÌâÄ¿¡¿ÈçÏÂͼÊǼÒÓõ緹ìҵĵç·ͼ£®½«µç·¹ìÒ½Óµ½ÎÈѹµçÔ´ÉÏ£¬µ±¿ª¹Ø½Óͨ¡°¼ÓÈÈ¡±µ²Ê±£¬µçÈÈË¿ÒԶ¹¦ÂʸøÊ³Îï¼ÓÈÈ£¬µ±Ê³ÎïÕôÊìºó£¬¿ª¹Ø½Óͨ¡°±£Î¡±µ²£¬¸øÊ³ÎﱣΣ¬ÕâʱµçÈÈË¿µÄ¹¦ÂÊΪÆä¶î¶¨¹¦ÂʵÄ
£¬µçÁ÷Ϊ1.40 A£¬ÒÑÖª·Öѹµç×èµÄ×èÖµÊÇR£½100¦¸.Çó£º
![]()
(1)±£ÎÂʱ£¬µç×èRÁ½¶ËµÄµçѹ£»
(2)ÎÈѹµçÔ´Êä³öµÄµçѹ£»
(3)µçÈÈË¿µÄ¶î¶¨¹¦ÂÊ£®
²é¿´´ð°¸ºÍ½âÎö>>
¿ÆÄ¿£º¸ßÖÐÎïÀí À´Ô´£º ÌâÐÍ£º
¡¾ÌâÄ¿¡¿Èçͼ¼×ËùʾÊÇijͬѧ̽¾¿¼ÓËÙ¶ÈÓëÁ¦µÄ¹ØÏµµÄʵÑé×°Öá£ËûÔÚÆøµæµ¼¹ìÉϰ²×°ÁËÒ»¸ö¹âµçÃÅB£¬»¬¿éÉϹ̶¨Ò»ÕÚ¹âÌõ£¬»¬¿éÓÃϸÏßÈÆ¹ýÆøµæµ¼¹ì×ó¶ËµÄ¶¨»¬ÂÖÓëÁ¦´«¸ÐÆ÷ÏàÁ¬£¬´«¸ÐÆ÷Ï·½Ðü¹Ò¹³Â룬ÿ´Î»¬¿é¶¼´ÓA´¦Óɾ²Ö¹ÊÍ·Å£®
![]()
£¨1£©¸ÃͬѧÓÃÓα꿨³ß²âÁ¿ÕÚ¹âÌõµÄ¿í¶Èd£¬ÈçͼÒÒËùʾ£¬Ôòd=______mm
![]()
£¨2£©ÊµÑéʱ£¬½«»¬¿é´ÓAλÖÃÓɾ²Ö¹ÊÍ·Å£¬ÓÉÊý×Ö¼ÆÊ±Æ÷¶Á³öÕÚ¹âÌõͨ¹ý¹âµçÃÅBµÄʱ¼ät£¬ÈôÒªµÃµ½»¬¿éµÄ¼ÓËÙ¶È£¬»¹ÐèÒª²âÁ¿µÄÎïÀíÁ¿ÊÇ______£»
£¨3£©ÏÂÁв»±ØÒªµÄÒ»ÏîʵÑéÒªÇóÊÇ______£®£¨ÇëÌîдѡÏîǰ¶ÔÓ¦µÄ×Öĸ£©
A£®Ó¦Ê¹»¬¿éÖÊÁ¿Ô¶´óÓÚ¹³ÂëºÍÁ¦´«¸ÐÆ÷µÄ×ÜÖÊÁ¿
B£®Ó¦Ê¹AλÖÃÓë¹âµçÃżäµÄ¾àÀëÊʵ±´óЩ
C£®Ó¦½«Æøµæµ¼¹ìµ÷½Úˮƽ
D£®Ó¦Ê¹Ï¸ÏßÓëÆøµæµ¼¹ìƽÐÐ
£¨4£©¸Ä±ä¹³ÂëÖÊÁ¿£¬²â³ö¶ÔÓ¦µÄÁ¦´«¸ÐÆ÷µÄʾÊýFºÍÕÚ¹âÌõͨ¹ý¹âµçÃŵÄʱ¼ät£¬Í¨¹ýÃèµã×÷³öÏßÐÔͼÏó£¬Ñо¿»¬¿éµÄ¼ÓËÙ¶ÈÓëÁ¦µÄ¹ØÏµ£¬´¦ÀíÊý¾ÝʱӦ×÷³ö______ͼÏó¡££¨Ñ¡Ìî¡°
¡±£¬¡°
¡±£¬¡°
¡±£©
²é¿´´ð°¸ºÍ½âÎö>>
¿ÆÄ¿£º¸ßÖÐÎïÀí À´Ô´£º ÌâÐÍ£º
¡¾ÌâÄ¿¡¿Èçͼ¼×Ëùʾ£¬Ò»Î»Í¬Ñ§ÀûÓùâµç¼ÆÊ±Æ÷µÈÆ÷²Ä×ö¡°ÑéÖ¤»úеÄÜÊØºã¶¨ÂÉ¡±µÄʵÑ飮ÓÐÒ»Ö±¾¶Îªd¡¢ÖÊÁ¿ÎªmµÄ½ðÊôСÇòÓÉA´¦Óɾ²Ö¹ÊÍ·Å£¬ÏÂÂä¹ý³ÌÖÐÄÜͨ¹ýA´¦ÕýÏ·½¡¢¹Ì¶¨ÓÚB´¦µÄ¹âµçÃÅ£¬²âµÃA¡¢B¼äµÄ¾àÀëΪH£¨Hd£©£¬¹âµç¼ÆÊ±Æ÷¼Ç¼ÏÂСÇòͨ¹ý¹âµçÃŵÄʱ¼äΪt£¬µ±µØµÄÖØÁ¦¼ÓËÙ¶ÈΪg£®Ôò£º
![]()
£¨1£©²âСÇòÖ±¾¶Ê±ÓÃÁËÒ»ÖÖгö³§µÄÓα꿨³ß£¬ÓëÆÕͨÓα꿨³ß²»Í¬£¬ËüÓαê³ßµÄ¿ÌÏß¿´ÆðÀ´ºÜ¡°Ï¡Ê衱£¬Ê¹µÃ¶ÁÊýʱÇåÎúÃ÷ÁË£¬·½±ãÁËʹÓÃÕßÕýÈ·¶ÁÈ¡Êý¾Ý£®Èç¹û´ËÓαê³ßµÄ¿ÌÏßÊǽ«¡°39 mmµÈ·Ö³É20·Ý¡±¡£ÓøÃÓα꿨³ß²âµÃСÇòµÄÖ±¾¶ÈçͼËùʾ£¬Ôòd£½_______cm£®
![]()
£¨2£©¶à´Î¸Ä±ä¸ß¶ÈH£¬Öظ´ÉÏÊöʵÑ飬×÷³ö
ËæH±ä»¯µÄͼÏñÈçͼ±ûËùʾ£¬µ±Í¼ÖÐÒÑÖªÁ¿t0¡¢H0ºÍÖØÁ¦¼ÓËÙ¶Èg¼°Ð¡ÇòµÄÖ±¾¶dÂú×ã±í´ïʽ________ʱ£¬¿ÉÅжÏСÇòÏÂÂä¹ý³ÌÖлúеÄÜÊØºã£®
![]()
£¨3£©ÊµÑéÖз¢ÏÖ¶¯ÄÜÔö¼ÓÁ¿¦¤Ek×ÜÊÇÉÔСÓÚÖØÁ¦ÊÆÄܼõÉÙÁ¿¦¤Ep£¬Ôö¼ÓÏÂÂä¸ß¶Èºó£¬Ôò¦¤Ep£¦¤Ek½«________£¨Ñ¡Ìî¡°Ôö¼Ó¡±¡°¼õС¡±»ò¡°²»±ä¡±£©¡£
²é¿´´ð°¸ºÍ½âÎö>>
¿ÆÄ¿£º¸ßÖÐÎïÀí À´Ô´£º ÌâÐÍ£º
¡¾ÌâÄ¿¡¿ÈçͼËùʾ£¬¹â»¬Ë®Æ½ÃæÉÏ·Å×ÅÖÊÁ¿¶¼ÎªmµÄÎï¿éAºÍB£¬A¡¢B ¼ä¼ÐÒ»¸ö±»Ñ¹ËõµÄÇᵯ»É£¨µ¯»ÉÓëA¡¢B¾ù²»Ë©½Ó£©£¬ÔÚA¡¢B¼äϵһÇáÖÊϸÉþ¹Ì¶¨¡£ÔÚ¶ÌÔÝʱ¼äÄÚÉÕ¶ÏϸÉþ£¬BÏòÓÒÔ˶¯£¬ÍÑÀëÇᵯ»ÉÒ»¶Îʱ¼äºóÓëÏò×óÔÈËÙÔ˶¯¡¢ËÙ¶ÈΪv0µÄÎï¿éC·¢ÉúÅöײ£¬ÅöºóB¡¢CÁ¢¿ÌÐγÉÕ³ºÏÌ岢ֹͣÔ˶¯£¬CµÄÖÊÁ¿Îª2m£¬Çó£º
![]()
(1)B¡¢CÏàײǰһ˲¼äBµÄËÙ¶È´óС£»
(2)Éþ±»ÉÕ¶Ïǰµ¯»ÉµÄµ¯ÐÔÊÆÄÜΪ¶à´ó£¿
²é¿´´ð°¸ºÍ½âÎö>>
¿ÆÄ¿£º¸ßÖÐÎïÀí À´Ô´£º ÌâÐÍ£º
¡¾ÌâÄ¿¡¿ÈçͼËùʾA¡¢BÁ½¸öÎïÌåµþ·ÅÔÚÒ»Æð£¬¾²Ö¹ÔÚ´Ö²ÚˮƽµØÃæÉÏ£¬BÓëˮƽµØÃæ¼äµÄ¶¯Ä¦²ÁÒòÊý¦Ì1=0.1£¬AÓëBÖ®¼äµÄ¶¯Ä¦²ÁÒòÊý¦Ì2=0.2£®ÒÑÖªÎïÌåAµÄÖÊÁ¿m=2kg£¬ÎïÌåBµÄÖÊÁ¿M=3kg£¬ÖØÁ¦¼ÓËÙ¶ÈgÈ¡10m/s2£®ÏÖ¶ÔÎïÌåBÊ©¼ÓÒ»¸öˮƽÏòÓҵĺãÁ¦F£¬ÎªÊ¹ÎïÌåAÓëÎïÌåBÏà¶Ô¾²Ö¹£¬ÔòºãÁ¦µÄ×î´óÖµÊÇ£¨ÎïÌå¼äµÄ×î´ó¾²Ä¦²ÁÁ¦µÈÓÚ»¬¶¯Ä¦²ÁÁ¦£©£¨¡¡¡¡£©
![]()
A. 20N B. 15N C. 10N D. 5N
²é¿´´ð°¸ºÍ½âÎö>>
¿ÆÄ¿£º¸ßÖÐÎïÀí À´Ô´£º ÌâÐÍ£º
¡¾ÌâÄ¿¡¿Èçͼ¼×Ëùʾ£¬ÓÃÌú¼Ų̈¡¢µ¯»ÉºÍ¶à¸öÖÊÁ¿¾ùΪmµÄ¹³Âë̽¾¿ÔÚµ¯ÐÔÏÞ¶ÈÄÚµ¯»Éµ¯Á¦Ó뵯»ÉÉ쳤Á¿µÄ¹ØÏµ¡£
![]()
(1)ΪÍê³ÉʵÑ飬»¹ÐèÒªµÄʵÑéÆ÷²ÄÓУº_______________________¡£
(2) ΪÍê³É¸ÃʵÑ飬Éè¼ÆÊµÑé²½ÖèÈçÏ£º
A£®ÒÔµ¯»ÉÉ쳤Á¿Îªºá×ø±ê£¬ÒÔµ¯Á¦Îª×Ý×ø±ê£¬Ãè³ö¸÷×é(x£¬F)¶ÔÓ¦µÄµã£¬²¢ÓÃÆ½»¬µÄÇúÏßÁ¬½ÓÆðÀ´£»
B£®¼Çϵ¯»É²»¹Ò¹³ÂëʱÆä϶ËÔڿ̶ȳßÉϵĿ̶Èl0£»
C£®½«Ìú¼Ų̈¹Ì¶¨ÓÚ×À×ÓÉÏ£¬²¢½«µ¯»ÉµÄÒ»¶ËϵÓÚºáÁºÉÏ£¬ÔÚµ¯»É¸½½üÊúÖ±¹Ì¶¨Ò»°Ñ¿Ì¶È³ß£»
D£®ÒÀ´ÎÔÚµ¯»É϶˹ÒÉÏ1¸ö¡¢2¸ö¡¢3¸ö¡¢4¸ö¡¢¡¡¹³Â룬²¢·Ö±ð¼ÇϹ³Â뾲ֹʱµ¯»É϶ËËù¶ÔÓ¦µÄ¿Ì¶È£¬²¢¼Ç¼ÔÚ±í¸ñÄÚ£¬È»ºóȡϹ³Â룻
E£®ÒÔµ¯»ÉÉ쳤Á¿Îª×Ô±äÁ¿£¬Ð´³öµ¯Á¦ÓëÉ쳤Á¿µÄ¹ØÏµÊ½¡£Ê×Ïȳ¢ÊÔд³ÉÒ»´Îº¯Êý£¬Èç¹û²»ÐУ¬Ôò¿¼ÂǶþ´Îº¯Êý£»
F£®½âÊͺ¯Êý±í´ïʽÖг£ÊýµÄÎïÀíÒâÒ壻
G£®ÕûÀíÒÇÆ÷¡£
Ç뽫ÒÔÉϲ½Öè°´²Ù×÷µÄÏȺó˳ÐòÅÅÁгöÀ´£º___________________________________¡£
£¨3£©Í¼ÒÒÊǵ¯»Éµ¯Á¦FÓ뵯»ÉÉ쳤Á¿xµÄFxͼÏߣ¬ÓÉ´Ë¿ÉÇó³öµ¯»ÉµÄ¾¢¶ÈϵÊýΪ____ N/m¡£
²é¿´´ð°¸ºÍ½âÎö>>
¹ú¼ÊѧУÓÅÑ¡ - Á·Ï°²áÁбí - ÊÔÌâÁбí
ºþ±±Ê¡»¥ÁªÍøÎ¥·¨ºÍ²»Á¼ÐÅÏ¢¾Ù±¨Æ½Ì¨ | ÍøÉÏÓк¦ÐÅÏ¢¾Ù±¨×¨Çø | µçÐÅթƾٱ¨×¨Çø | ÉæÀúÊ·ÐéÎÞÖ÷ÒåÓк¦ÐÅÏ¢¾Ù±¨×¨Çø | ÉæÆóÇÖȨ¾Ù±¨×¨Çø
Î¥·¨ºÍ²»Á¼ÐÅÏ¢¾Ù±¨µç»°£º027-86699610 ¾Ù±¨ÓÊÏ䣺58377363@163.com