精英家教网 > 高中物理 > 题目详情
甲、乙两人同时从A地前往B地,甲前一半路程跑、后一半路程走,乙前一半时间跑、后一半时间走,甲、乙两人跑的速度相同,走的速度也相同,则( )
A.甲先到达终点
B.乙先到达终点
C.甲、乙同时到达终点
D.无法判断甲、乙谁先到达终点
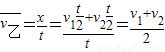
【答案】分析:比较出甲乙两人全程的平均速度,就可以比较运动的时间.因为甲乙两人的总位移相等,根据比较运动的时间.
解答:解:设跑的速度和走的速度分别为v1和v2,则甲的平均速度.乙的平均速度.因为,所以.根据,知乙的时间短,乙先到达终点.故B正确,A、C、D错误.
故选B.
点评:解决本题的关键比较出甲乙两人的平均速度,通过比较运动的时间.
练习册系列答案
相关习题

科目:高中物理 来源: 题型:

(2011?鄂州模拟)甲、乙两人同时从A地前往B地,甲前一半路程跑、后一半路程走,乙前一半时间跑、后一半时间走,甲、乙两人跑的速度相同,走的速度也相同,则(  )

查看答案和解析>>

科目:高中物理 来源: 题型:

甲、乙两人同时从A地赶往B地,甲先骑自行车到中点改为跑步,而乙则是先跑步到中点改为骑自行车,最后两人同时到达B地。又知甲骑自行车比乙骑自行车的速度快,并且两人骑车速度均比跑步速度快,若某人离开A地的距离x与所用时间t的函数关系用图中的四个函数图象表示,则甲、乙两人的图象只可能是(   )

[来源:Z&xx&k.Com]

A.甲是①,乙是②   B.甲是①,乙是④

C.甲是③,乙是②   D.甲是③,乙是④

查看答案和解析>>

科目:高中物理 来源:不详 题型:单选题

甲、乙两人同时从A地前往B地,甲前一半路程跑、后一半路程走,乙前一半时间跑、后一半时间走,甲、乙两人跑的速度相同,走的速度也相同,则(  )
A.甲先到达终点
B.乙先到达终点
C.甲、乙同时到达终点
D.无法判断甲、乙谁先到达终点

查看答案和解析>>

科目:高中物理 来源:2011-2012学年新疆乌鲁木齐市天山区兵团二中高三(上)第一次月考物理试卷(解析版) 题型:选择题

甲、乙两人同时从A地前往B地,甲前一半路程跑、后一半路程走,乙前一半时间跑、后一半时间走,甲、乙两人跑的速度相同,走的速度也相同,则( )
A.甲先到达终点
B.乙先到达终点
C.甲、乙同时到达终点
D.无法判断甲、乙谁先到达终点

查看答案和解析>>

科目:高中物理 来源:2011-2012学年安徽省池州市贵池区千秋中学高三(上)期中物理试卷(解析版) 题型:选择题

甲、乙两人同时从A地前往B地,甲前一半路程跑、后一半路程走,乙前一半时间跑、后一半时间走,甲、乙两人跑的速度相同,走的速度也相同,则( )
A.甲先到达终点
B.乙先到达终点
C.甲、乙同时到达终点
D.无法判断甲、乙谁先到达终点

查看答案和解析>>

同步练习册答案