精英家教网 > 高中物理 > 题目详情

两平行金属板长L=0.1 m,板间距离d=1.44×10-2 m,带电粒子从两板左端中央持续飞入,如图甲所示.粒子的电量q=10-10C,质量m=10-20 kg,初速度方向平行于极板,大小为v=107 m/s,在两极板上加一按如图乙所示规律变化的电压,不计带电粒子重力作用.求:

(1)带电粒子如果能从金属板右侧飞出,粒子在电场中运动的时间是多少?

(2)有一粒子恰好能从右侧极板边缘飞出,该粒子飞出时动能的增量ΔEk=?

(3)在一个周期内从两板右侧有粒子射出的时间t与无粒子射出的时间各为多少?(打到金属板上的粒子立即被金属板吸附)

答案:
解析:

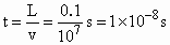
  (1)带电粒子在水平方向作匀速直线运动,有

   ①

  (2)粒子进入极板后,当两极板间有电压时,粒子的加速度大小为

   ②

  如果进入电场的粒子在竖直方向始终加速,其偏移距离

   ③

  所以带电粒子在极板间运动期间,在竖直方向有一段时间加速,有一段时间匀速.如果先匀速再加速,从右侧极板边缘飞出的粒子动能增量为

   ④

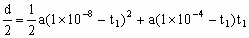
  如果先加速再匀速,例如在内某时刻进入电场的粒子,从右侧极板边缘飞出时应满足

   ⑤

  解得 ⑥

  加速时间 ⑦

  加速距离 ⑧

  粒子动能增量为

   ⑨

  (3)由(2)可知,在内进入极板的粒子,在时刻之前进入的粒子将打到金属板上被金属板吸附,在时刻以后进入极板的粒子沿电场方向先加速后匀速直至飞出极板; ⑩

  在内某时刻前进入极板的粒子沿竖直方向先不偏转后加速,直至通过极板.时刻应满足

   

  可解得:. 

  所以在一个周期有粒子射出的时间为

  ; 

  无粒子射出的时间

  . 

  评分标准:本题14分,每式各1分.


练习册系列答案
相关习题

科目:高中物理 来源:吉林省扶余一中2010-2011学年高二上学期第一次月考物理试题 题型:038

水平放置的两块平行金属板长L=5.0 cm,两板间距d=1.0 cm,两板间电压为90 v,且上板为正,一个电子沿水平方向以速度v0=2.0×107 m/s,从两板中间射入,如图,求:

(1)电子偏离金属板时的侧位移是多少?

(2)电子飞出电场时的速度是多少?

(3)电子离开电场后,打在屏上的P点,若S=10 cm,求OP的长?(电子电量e=-1.6×10-19 C,电子质量m=9.1×10-31 kg)

查看答案和解析>>

科目:高中物理 来源:湖北省武汉二中2011-2012学年高二上学期期中考试物理试题 题型:038

两平行金属板长L=0.1 m,板间距离d=l×10-2 m,从两板左端正中间有带电粒子持续飞入,如图甲所示.粒子的电量q=10-10 C,质量m=10-20 kg,初速度方向平行于极板,大小为v=107 m/s,在两极板上加一按如图乙所示规律变化的电压,不计带电粒子重力作用.求:

(1)带电粒子如果能从金属板右侧飞出,粒子在电场中运动的时间是多少?

(2)试通过计算判断在t=1.4×10-8 s和t=0.6×10-8 s时刻进入电场的粒子能否飞出.

(3)若有粒子恰好能从右侧极板边缘飞出,该粒子飞出时动能的增量ΔEK=?

查看答案和解析>>

科目:高中物理 来源:湖南省衡阳八中2010届高三第四次月考、物理试卷 题型:038

水平放置的两块平行金属板长L=5.0 cm,两板间距d=1.0 cm,两板间电压为90 v,且上板为正,一个电子沿水平方向以速度v0=2.0×107 m/s,从两板中间射入,如图.已知电子的电量为1.6×10-19 C,质量为9.1×10-31 kg求:

(1)电子偏离金属板时的侧位移是多少?

(2)电子离开电场后,打在屏上的P点,若S=10 cm,求OP的长?

查看答案和解析>>

科目:高中物理 来源:安徽省怀宁中学2012届高三第四次月考物理试题 题型:038

两平行金属板长L=0.1 m,板间距离d=1×10-2 m.从两板左端正中间有带电粒子持续飞入,如图甲所示.粒子的电量q=10-10 c,质量m=10-20 kg,初速度方向平行于极板,大小为v=107 m/s.在两极板上加一按如图乙所示规律变化的电压,不计带电粒子之间的相互作用和重力作用,求:

①带电粒子如果能从金属极板右侧飞出,粒子在电场中运动的时间是多少?

②试通过计算判断:在t=1.4×10-8 s和t=0.6×10-8 s时刻进入电场的粒子能否飞出极板?

③若有粒子恰好能从右侧极板边缘飞出,该粒子飞出时动能的增量ΔEK=?

查看答案和解析>>

同步练习册答案