精英家教网 > 高中物理 > 题目详情
如图所示,长为L的木板A静止在光滑的水平桌面上,A的左端上方放有小物体B(可视为质点),一端连在B上的细绳,绕过固定在桌子边沿的定滑轮后,另一端连在小物体C上,设法用外力使A、B静止,此时C被悬挂着。A的右端距离滑轮足够远,C距离地面足够高。已知A的质量为6m,B的质量为3m,C的质量为m。现将C物体竖直向上提高距离2L,同时撤去固定A、B的外力。再将C无初速释放,当细绳被拉直时B、C速度的大小立即变成相等,由于细绳被拉直的时间极短,此过程中重力和摩擦力的作用可以忽略不计,细绳不可伸长,且能承受足够大的拉力。最后发现B在A上相对A滑行的最大距离为。细绳始终在滑轮上,不计滑轮与细绳之间的摩擦,计算中可认为A、B之间的最大静摩擦力等于滑动摩擦力,取重力加速度g=10m/s2
(1)求细绳被拉直前瞬间C物体速度的大小υ0
(2)求细绳被拉直后瞬间B、C速度的大小υ;
(3)在题目所述情景中,只改变C物体的质量,可以使B从A上滑下来。设C的质量为km,求k至少为多大?
解:(1)C做自由落体运动,下降高度为2L时的速度为v0,根据
v0=
(2)此时细绳被拉直,B、C速度的大小立即变成v,设绳子对B、C的冲量大小为I,根据动量定理得
对B:
对C:
解得B、C速度的大小v=
(3)设C物体的质量为km,A、B之间的动摩擦因数为μ
由(2)可知,细绳被拉直时B、C速度的大小v′′=
此后B物体的加速度
A物体的加速度
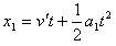
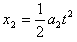
经时间t,B物体的速度,B物体的位移
同样,A物体的速度,A物体的位移
(i)根据题意,若k=1,当v1=v2时,x1-x2=,解μ=0.4
(ii)要使v1=v2时,x1-x2=L,利用(i)求得的动摩擦因数μ,可得k==1.29
即C物体的质量至少为1.29m时,才可以使B物体从A上滑下来
练习册系列答案
相关习题

科目:高中物理 来源: 题型:

如图所示,长L=34.5m的水平传送带以大小为υ=3m/s的速度沿逆时针方向运动,将一质量为M=2kg的小木盒B轻轻放在传送带右端,B与传送带之间的动摩擦因数μ=0.3,在木盒放上传送带的同时,有一个光滑的质量为m=1kg的小球A自传送带的左端以υ0=15m/s的速度在传送带上向右运动.球与木盒相遇时,木盒与传送带已相对静止,相遇后球立即进入盒中与盒保持相对静止.(取g=10m/s2)求:
(1)球与木盒相遇后瞬间,两者共同运动的速度;
(2)小木盒从传送带右端到左端的时间;
(3)小木盒从传送带右端到左端的过程中因木盒与传送带间的摩擦而产生的热量.

查看答案和解析>>

科目:高中物理 来源: 题型:

精英家教网如图所示,质量为M=4kg长L=2.6m的木滑板静止放在光滑的水平面上,滑板的左端固定有一根劲度系数k=500N/m,原长L0=0.2m的轻弹簧,现有一质量m=1kg的小物块以V0=10m/s的速度从木滑板的右端滑上木板,物块接触弹簧后压缩弹簧,最后又恰好返回木板的右端,已知物块与木板间的动摩擦因数μ=0.8,求物块压缩弹簧的过程中受到弹簧的最大弹力.

查看答案和解析>>

科目:高中物理 来源: 题型:038

如图所示,长为L1m的轻质木杆,一端固定一个质量m2kg的小球,以支架上的O点为轴在竖直面内做圆周运动,支架质量M5kg,当小球运动到最高点时v2m/s,则此时支架对地面的压力为多少?若要使支架对地面的压力为零,则小球运动到最高点时速度又该为多少?(g10m/s2)

 

查看答案和解析>>

科目:高中物理 来源:物理教研室 题型:038

如图所示,长为L1m的轻质木杆,一端固定一个质量m2kg的小球,以支架上的O点为轴在竖直面内做圆周运动,支架质量M5kg,当小球运动到最高点时v2m/s,则此时支架对地面的压力为多少?若要使支架对地面的压力为零,则小球运动到最高点时速度又该为多少?(g10m/s2)

 

查看答案和解析>>

科目:高中物理 来源: 题型:038

如图所示,长为L=1m的轻质木杆,一端固定一个质量m=2kg的小球,以支架上的O点为轴在竖直面内做圆周运动,支架质量M=5kg,当小球运动到最高点时v=2m/s,则此时支架对地面的压力为多少?若要使支架对地面的压力为零,则小球运动到最高点时速度又该为多少?(g)

查看答案和解析>>

同步练习册答案