ÈçͼËùʾ£¬Ò»¾ØÐÎÇáÖÊÈáÈí·´ÉäĤ¿ÉÈÆ¹ýOµã´¹Ö±Ö½ÃæµÄˮƽÖáת¶¯£¬ÆäÔÚÖ½ÃæÉϵij¤¶ÈOAΪL1£¬´¹Ö±Ö½ÃæµÄ¿í¶ÈΪL2£¬ÔÚĤµÄ϶ˣ¨Í¼ÖÐA´¦£©¹ÒÓÐһƽÐÐÓÚתÖᣬÖÊÁ¿Îªm£¬³¤ÎªL2µÄµ¼Ìå°ôʹĤ±Á³ÉÆ½Ãæ¡£ÔÚĤÏ·½Ë®Æ½·ÅÖÃÒ»×ã¹»´óµÄÌ«ÑôÄܹâµç³Ø°å£¬ÄܽÓÊÕµ½¾­·´ÉäĤ·´Éäµ½¹âµç³Ø°åÉϵÄËùÓйâÄÜ£¬²¢½«¹âÄÜת»¯³ÉµçÄÜ£¬¹âµç³Ø°å¿ÉµÈЧΪһ¸öµç³Ø£¬Êä³öµçѹºã¶¨ÎªU£»Êä³öµçÁ÷Õý±ÈÓÚ¹âµç³Ø°å½ÓÊÕµ½µÄ¹âÄÜ£¨Éè´¹Ö±ÓÚÈëÉä¹âµ¥Î»Ãæ»ýÉϵĹ⹦Âʱ£³Öºã¶¨£©¡£µ¼Ìå°ô´¦ÔÚ·½ÏòÊúÖ±ÏòÉϵÄÔÈÇ¿´Å³¡BÖУ¬²¢Óë¹âµç³Ø¹¹³É»ØÂ·£¬Á÷Ìåµ¼Ìå°ôµÄµçÁ÷´¹Ö±Ö½ÃæÏòÍâ¡££¨×¢£º¹âµç³ØÓëµ¼Ìå°ôÖ±½ÓÏàÁ¬£¬Á¬½Óµ¼Ïßδ»­³ö£©
£¨1£©ÏÖÓÐÒ»ÊøÆ½ÐйâˮƽÈëÉ䣬µ±·´ÉäĤÓëÊúÖ±·½Ïò³É¦È=60¡ãʱ£¬µ¼Ìå°ô´¦ÓÚÊÜÁ¦Æ½ºâ״̬£¬Çó´ËʱµçÁ÷Ç¿¶ÈµÄ´óСºÍ¹âµç³ØµÄÊä³ö¹¦ÂÊ¡£
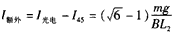
£¨2£©µ±¦È±äΪ45¡ãʱ£¬Í¨¹ýµ÷Õûµç·ʹµ¼Ìå°ô±£³Öƽºâ£¬¹âµç³Ø³ýά³Öµ¼Ìå°ôÁ¦Ñ§Æ½ºâÍ⣬»¹ÄÜÊä³ö¶àÉÙ¶îÍâµç¹¦ÂÊ£¿
½â£º£¨1£©µ¼Ìå°ôËùÊܰ²ÅàÁ¦FA=IBL2
µ¼Ìå°ôÓо²Á¦Æ½ºâ¹ØÏµmgtan¦È=FA
½âµÃ
ËùÒÔµ±¦È=60¡ãʱ£¬
¹âµç³ØÊä³ö¹¦ÂÊΪ
£¨2£©µ±¦È=45¡ãʱ£¬¸ù¾Ý£¨1£©¿É֪ά³Ö¾²Á¦Æ½ºâÐèÒªµÄµçÁ÷Ϊ
¸ù¾Ý¼¸ºÎ¹ØÏµ¿ÉÖª
¿ÉµÃ
¶ø¹âµç³Ø²úÉúµÄµçÁ÷Ϊ
ËùÒÔÄÜÌṩµÄ¶îÍâµçÁ÷Ϊ
¿ÉÌṩ¶îÍ⹦ÂÊΪ
Á·Ï°²áϵÁдð°¸
Ïà¹ØÏ°Ìâ

¿ÆÄ¿£º¸ßÖÐÎïÀí À´Ô´£º ÌâÐÍ£º

£¨2010?Õã½­£©ÈçͼËùʾ£¬Ò»¾ØÐÎÇáÖÊÈáÈí·´ÉäĤ¿ÉÈÆ¹ýOµã´¹Ö±Ö½ÃæµÄˮƽÖáת¶¯£¬ÆäÔÚÖ½ÃæÉϵij¤¶ÈΪL1£¬´¹Ö±Ö½ÃæµÄ¿í¶ÈΪL2£®ÔÚĤµÄ϶ˣ¨Í¼ÖÐA´¦£©¹ÒÓÐһƽÐÐÓÚתÖᣬÖÊÁ¿Îªm£¬³¤ÎªL2µÄµ¼Ìå°ôʹĤ³ÉÆ½Ãæ£®ÔÚĤÏ·½Ë®Æ½·ÅÖÃÒ»×ã¹»´óµÄÌ«ÑôÄܹâµç³Ø°å£¬ÄܽÓÊÕµ½¾­·´ÉäĤ·´Éäµ½¹âµç³Ø°åÉϵÄËùÓйâÄÜ£¬²¢½«¹âÄÜת»¯³ÉµçÄÜ£®¹âµç³Ø°å¿ÉµÈЧΪһ¸öÒ»µç³Ø£¬Êä³öµçѹºã¶¨ÎªU£»Êä³öµçÁ÷Õý±ÈÓÚ¹âµç³Ø°å½ÓÊÕµ½µÄ¹âÄÜ£¨Éè´¹Ö±ÓÚÈëÉä¹âµ¥Î»Ãæ»ýÉϵĹ⹦Âʱ£³Öºã¶¨£©£®µ¼Ìå°ô´¦ÔÚ·½ÏòÊúÖ±ÏòÉϵÄÔÈÇ¿´Å³¡BÖУ¬²¢Óë¹âµç³Ø¹¹³É»ØÂ·£¬Á÷¾­µ¼Ìå°ôµÄµçÁ÷´¹Ö±Ö½ÃæÏòÍ⣨ע£º¹âµç³ØÓëµ¼Ìå°ôÖ±½ÓÏàÁ¬£¬Á¬½Óµ¼Ïßδ»­³ö£©£®
£¨1£©ÏÖÓÐÒ»ÊøÆ½ÐйâˮƽÈëÉ䣬µ±·´ÉäĤÓëÊúÖ±·½Ïò³É¦È=60¡ãʱ£¬µ¼Ìå°ô´¦ÓÚÊÜÁ¦Æ½ºâ״̬£¬Çó´ËʱµçÁ÷Ç¿¶ÈµÄ´óСºÍ¹âµç³ØµÄÊä³ö¹¦ÂÊ£®
£¨2£©µ±¦È±ä³É45¡ãʱ£¬Í¨¹ýµ÷Õûµç·ʹµ¼Ìå°ô±£³Öƽºâ£¬¹âµç³Ø³ýά³Öµ¼Ìå°ôƽºâÍ⣬»¹ÄÜÊä³ö¶àÉÙ¶îÍâµç¹¦ÂÊ£¿

²é¿´´ð°¸ºÍ½âÎö>>

¿ÆÄ¿£º¸ßÖÐÎïÀí À´Ô´£º ÌâÐÍ£º

ÈçͼËùʾ£¬Ò»¾ØÐÎÇáÖÊÈáÈí·´ÉäĤ¿ÉÈÆ¹ýOµã´¹Ö±Ö½ÃæµÄˮƽÖáת¶¯£¬ÆäÔÚÖ½ÃæÉϵij¤¶ÈΪL1£¬´¹Ö±Ö½ÃæµÄ³¤¶ÈΪL2£®ÔÚĤµÄ϶ˣ¨Í¼ÖÐA´¦£©¹ÒÓÐһƽÐÐÓÚתÖᣬÖÊÁ¿Îªm£¬³¤ÎªL3µÄµ¼Ìå°ôʹĤÐÎ³ÉÆ½Ã森ÔÚĤÏ·½Ë®Æ½·ÅÖÃÒ»×ã¹»´óµÄÌ«ÑôÄܹâµç³Ø°å£¬ÄܽÓÊÕµ½¾­·´ÉäĤ·´Éäµ½¹âµç³Ø°åÉϵÄËùÓйâÄÜ£¬²¢½«Æäת»¯³ÉµçÄÜ£®¹âµç³Ø°å¿ÉµÈЧΪһ¸öµç³Ø£¬Êä³öµçѹºã¶¨ÎªU£»Êä³öµçÁ÷Õý±ÈÓÚ¹âµç³Ø°å½ÓÊÕµ½µÄ¹âÄÜ£¨Éè´¹Ö±ÓÚÈëÉä¹âµ¥Î»Ãæ»ýÉϵĹ⹦Âʱ£³Öºã¶¨£©£®µ¼Ìå°ô´¦ÔÚ·½ÏòÊúÖ±ÏòÉϵÄÔÈÇ¿´Å³¡BÖУ¬²¢Óë¹âµç³Ø¹¹³É»ØÂ·£¬Á÷¾­µ¼Ìå°ôµÄµçÁ÷´¹Ö±Ö½ÃæÏòÍ⣨ע£º¹âµç³ØÓëµ¼Ìå°ôÖ±½ÓÏàÁ¬£¬Á¬½Óµ¼Ïßδ»­³ö£©£®
£¨1£©ÔÙÓÐÒ»ÊøÆ½ÐйâˮƽÈëÉ䣬µ±·´ÉäĤÓëÊúÖ±·½Ïò³É¦È=60¡ãʱ£¬µ¼Ìå°ôÊÜÁ¦´¦ÓÚÆ½ºâ״̬£¬Çó´ËʱµçÁ÷Ç¿¶ÈµÄ´óСºÍ¹âµç³ØµÄÊä³ö¹¦ÂÊ£®
£¨2£©µ±¦È±ä³É45¡ãʱ£¬¹âµç³Ø°å½ÓÊÕµ½µÄ¹âÄܶÔÓ¦µÄ¹¦ÂÊP¡¯Óëµ±¦È=60¡ãʱ¹âµç³Ø°å½ÓÊÕµ½µÄ¹âÄܶÔÓ¦µÄ¹¦ÂÊPÖ®±È£¿
£¨3£©µ±¦È±ä³É45¡ãʱ£¬Í¨¹ýµ÷Õûµç·ʹµ¼Ìå°ô±£³Öƽºâ£¬¹âµç³Ø³ýά³Öµ¼Ìå°ô´¦ÓÚÆ½ºâÍ⣬»¹ÄÜÊä³ö¶àÉÙ¶îÍâµç¹¦ÂÊ£¿

²é¿´´ð°¸ºÍ½âÎö>>

¿ÆÄ¿£º¸ßÖÐÎïÀí À´Ô´£ºÕã½­ ÌâÐÍ£ºÎÊ´ðÌâ

ÈçͼËùʾ£¬Ò»¾ØÐÎÇáÖÊÈáÈí·´ÉäĤ¿ÉÈÆ¹ýOµã´¹Ö±Ö½ÃæµÄˮƽÖáת¶¯£¬ÆäÔÚÖ½ÃæÉϵij¤¶ÈΪL1£¬´¹Ö±Ö½ÃæµÄ¿í¶ÈΪL2£®ÔÚĤµÄ϶ˣ¨Í¼ÖÐA´¦£©¹ÒÓÐһƽÐÐÓÚתÖᣬÖÊÁ¿Îªm£¬³¤ÎªL2µÄµ¼Ìå°ôʹĤ³ÉÆ½Ãæ£®ÔÚĤÏ·½Ë®Æ½·ÅÖÃÒ»×ã¹»´óµÄÌ«ÑôÄܹâµç³Ø°å£¬ÄܽÓÊÕµ½¾­·´ÉäĤ·´Éäµ½¹âµç³Ø°åÉϵÄËùÓйâÄÜ£¬²¢½«¹âÄÜת»¯³ÉµçÄÜ£®¹âµç³Ø°å¿ÉµÈЧΪһ¸öÒ»µç³Ø£¬Êä³öµçѹºã¶¨ÎªU£»Êä³öµçÁ÷Õý±ÈÓÚ¹âµç³Ø°å½ÓÊÕµ½µÄ¹âÄÜ£¨Éè´¹Ö±ÓÚÈëÉä¹âµ¥Î»Ãæ»ýÉϵĹ⹦Âʱ£³Öºã¶¨£©£®µ¼Ìå°ô´¦ÔÚ·½ÏòÊúÖ±ÏòÉϵÄÔÈÇ¿´Å³¡BÖУ¬²¢Óë¹âµç³Ø¹¹³É»ØÂ·£¬Á÷¾­µ¼Ìå°ôµÄµçÁ÷´¹Ö±Ö½ÃæÏòÍ⣨ע£º¹âµç³ØÓëµ¼Ìå°ôÖ±½ÓÏàÁ¬£¬Á¬½Óµ¼Ïßδ»­³ö£©£®
£¨1£©ÏÖÓÐÒ»ÊøÆ½ÐйâˮƽÈëÉ䣬µ±·´ÉäĤÓëÊúÖ±·½Ïò³É¦È=60¡ãʱ£¬µ¼Ìå°ô´¦ÓÚÊÜÁ¦Æ½ºâ״̬£¬Çó´ËʱµçÁ÷Ç¿¶ÈµÄ´óСºÍ¹âµç³ØµÄÊä³ö¹¦ÂÊ£®
£¨2£©µ±¦È±ä³É45¡ãʱ£¬Í¨¹ýµ÷Õûµç·ʹµ¼Ìå°ô±£³Öƽºâ£¬¹âµç³Ø³ýά³Öµ¼Ìå°ôƽºâÍ⣬»¹ÄÜÊä³ö¶àÉÙ¶îÍâµç¹¦ÂÊ£¿
¾«Ó¢¼Ò½ÌÍø

²é¿´´ð°¸ºÍ½âÎö>>

¿ÆÄ¿£º¸ßÖÐÎïÀí À´Ô´£º ÌâÐÍ£º

£¨20·Ö£©ÈçͼËùʾ£¬Ò»¾ØÐÎÇáÖÊÈáÈí·´ÉäĤ¿ÉÈÆ¹ýOµã´¹Ö±Ö½ÃæµÄˮƽÖáת¶¯£¬ÆäÔÚÖ½ÃæÉϵij¤¶ÈOAΪL1£¬´¹Ö±Ö½ÃæµÄ¿í¶ÈΪL2¡£ÔÚĤµÄ϶ˣ¨Í¼ÖÐA´¦£©¹ÒÓÐһƽÐÐÓÚתÖᣬÖÊÁ¿Îªm£¬³¤ÎªL2µÄµ¼Ìå°ôʹĤ±Á³ÉÆ½Ãæ¡£ÔÚĤÏ·½Ë®Æ½·ÅÖÃÒ»×ã¹»´óµÄÌ«ÑôÄܹâµç³Ø°å£¬ÄܽÓÊÕµ½¾­·´ÉäĤ·´Éäµ½¹âµç³Ø°åÉϵÄËùÓйâÄÜ£¬²¢½«¹âÄÜת»¯³ÉµçÄÜ¡£¹âµç³Ø°å¿ÉµÈЧΪһ¸öµç³Ø£¬Êä³öµçѹºã¶¨ÎªU£»Êä³öµçÁ÷Õý±ÈÓÚ¹âµç³Ø°å½ÓÊÕµ½µÄ¹âÄÜ£¨Éè´¹Ö±ÓÚÈëÉä¹âµ¥Î»Ãæ»ýÉϵĹ⹦Âʱ£³Öºã¶¨£©¡£µ¼Ìå°ô´¦ÔÚ·½ÏòÊúÖ±ÏòÉϵÄÔÈÇ¿´Å³¡BÖУ¬²¢Óë¹âµç³Ø¹¹³É»ØÂ·£¬Á÷¾­µ¼Ìå°ôµÄµçÁ÷´¹Ö±Ö½ÃæÏòÍ⣨ע£º¹âµç³ØÓëµ¼Ìå°ôÖ±½ÓÏàÁ¬£¬Á¬½Óµ¼Ïßδ»­³ö£©¡£

£¨1£©ÈôÓÐÒ»ÊøÆ½ÐйâˮƽÈëÉ䣬µ±·´ÉäĤÓëÊúÖ±·½Ïò³É£½60ʱ£¬µ¼Ìå°ô´¦ÓÚÊÜÁ¦Æ½ºâ״̬£¬Çó´ËʱµçÁ÷Ç¿¶ÈµÄ´óСºÍ¹âµç³ØµÄÊä³ö¹¦ÂÊ¡£

£¨2£©µ±±ä³É45ʱ£¬Í¨¹ýµ÷Õûµç·ʹµ¼Ìå°ô±£³Öƽºâ£¬¹âµç³Ø³ýά³Öµ¼Ìå°ôÁ¦Ñ§Æ½ºâÍ⣬²»ÄÜÊä³ö¶àÉÙ¶îÍâµç¹¦ÂÊ£¿

 

²é¿´´ð°¸ºÍ½âÎö>>

¿ÆÄ¿£º¸ßÖÐÎïÀí À´Ô´£º2010ÄêÕã½­Ê¡¸ß¿¼ÎïÀíÊÔ¾í£¨½âÎö°æ£© ÌâÐÍ£º½â´ðÌâ

ÈçͼËùʾ£¬Ò»¾ØÐÎÇáÖÊÈáÈí·´ÉäĤ¿ÉÈÆ¹ýOµã´¹Ö±Ö½ÃæµÄˮƽÖáת¶¯£¬ÆäÔÚÖ½ÃæÉϵij¤¶ÈΪL1£¬´¹Ö±Ö½ÃæµÄ¿í¶ÈΪL2£®ÔÚĤµÄ϶ˣ¨Í¼ÖÐA´¦£©¹ÒÓÐһƽÐÐÓÚתÖᣬÖÊÁ¿Îªm£¬³¤ÎªL2µÄµ¼Ìå°ôʹĤ³ÉÆ½Ãæ£®ÔÚĤÏ·½Ë®Æ½·ÅÖÃÒ»×ã¹»´óµÄÌ«ÑôÄܹâµç³Ø°å£¬ÄܽÓÊÕµ½¾­·´ÉäĤ·´Éäµ½¹âµç³Ø°åÉϵÄËùÓйâÄÜ£¬²¢½«¹âÄÜת»¯³ÉµçÄÜ£®¹âµç³Ø°å¿ÉµÈЧΪһ¸öÒ»µç³Ø£¬Êä³öµçѹºã¶¨ÎªU£»Êä³öµçÁ÷Õý±ÈÓÚ¹âµç³Ø°å½ÓÊÕµ½µÄ¹âÄÜ£¨Éè´¹Ö±ÓÚÈëÉä¹âµ¥Î»Ãæ»ýÉϵĹ⹦Âʱ£³Öºã¶¨£©£®µ¼Ìå°ô´¦ÔÚ·½ÏòÊúÖ±ÏòÉϵÄÔÈÇ¿´Å³¡BÖУ¬²¢Óë¹âµç³Ø¹¹³É»ØÂ·£¬Á÷¾­µ¼Ìå°ôµÄµçÁ÷´¹Ö±Ö½ÃæÏòÍ⣨ע£º¹âµç³ØÓëµ¼Ìå°ôÖ±½ÓÏàÁ¬£¬Á¬½Óµ¼Ïßδ»­³ö£©£®
£¨1£©ÏÖÓÐÒ»ÊøÆ½ÐйâˮƽÈëÉ䣬µ±·´ÉäĤÓëÊúÖ±·½Ïò³É¦È=60°Ê±£¬µ¼Ìå°ô´¦ÓÚÊÜÁ¦Æ½ºâ״̬£¬Çó´ËʱµçÁ÷Ç¿¶ÈµÄ´óСºÍ¹âµç³ØµÄÊä³ö¹¦ÂÊ£®
£¨2£©µ±¦È±ä³É45°Ê±£¬Í¨¹ýµ÷Õûµç·ʹµ¼Ìå°ô±£³Öƽºâ£¬¹âµç³Ø³ýά³Öµ¼Ìå°ôƽºâÍ⣬»¹ÄÜÊä³ö¶àÉÙ¶îÍâµç¹¦ÂÊ£¿

²é¿´´ð°¸ºÍ½âÎö>>

ͬ²½Á·Ï°²á´ð°¸