精英家教网 > 高中物理 > 题目详情
探究某种笔的弹跳问题时,把笔分为轻质弹簧、内芯和外壳三部分,其中内芯和外壳质量分别为m和4m。笔的弹跳过程分为三个阶段:
①把笔竖直倒立于水平硬桌面,下压外壳使其下端接触桌面(见图a);
②由静止释放,外壳竖直上升至下端距桌面高度为h1时,与静止的内芯碰撞(见图b);
③碰后,内芯与外壳以共同的速度一起上升到外壳下端距桌面最大高度为h2处(见图c)。
设内芯与外壳间的撞击力远大于笔所受重力,不计摩擦与空气阻力,重力加速度为g。求:
(1)外壳与内芯碰撞后瞬间的共同速度大小;
(2)从外壳离开桌面到碰撞前瞬间,弹簧做的功;
(3)从外壳下端离开桌面上升至h2处,笔损失的机械能。
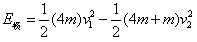
解:(1)由

(2)由4mv1=(4m+m)v2,将v2代入得v1=
,将v2代入得
(3)
将v1、v2代入得
练习册系列答案
相关习题

科目:高中物理 来源: 题型:

(2009?重庆)探究某种笔的弹跳问题时,把笔分为轻质弹簧、内芯和外壳三部分,其中内芯和外壳质量分别为m和4m.笔的弹跳过程分为三个阶段:
①把笔竖直倒立于水平硬桌面,下压外壳使其下端接触桌面(图a);
②由静止释放,外壳竖直上升至下端距桌面高度为h1时,与静止的内芯碰撞(图b);
③碰后,内芯与外壳以共同的速度一起上升到外壳下端距桌面最大高度为h2处(图c).
设内芯与外壳的撞击力远大于笔所受重力、不计摩擦与空气阻力,重力加速度为g.求:
(1)外壳与内芯碰撞后瞬间的共同速度大小;
(2)从外壳离开桌面到碰撞前瞬间,弹簧做的功;
(3)从外壳下端离开桌面到上升至h2处,笔损失的机械能.

查看答案和解析>>

科目:高中物理 来源: 题型:

(2010?武汉二模)在探究某种笔的弹跳问题时,建立以下简化模型进行研究.
把笔分为轻质弹簧、圆筒和直杆三部分,薄挡板P固定在直杆上,轻质弹簧的两端分别固定在圆筒顶部和薄挡板P上,质量为M的圆筒可沿直杆无摩擦滑动,直杆和挡板P的总质量为m.开始时将笔直立于水平桌面,在桌面上方的矩形区域内有竖直向上的匀强电场,带正电的挡板P非常靠近电场的上边界,挡板P与周围物体绝缘接触,受到的电场力与笔的重力大小相等.向上移动圆筒使弹簧处于原长状态,此时挡板P刚好与圆筒底部接触,如图甲所示.现用力缓慢向下压圆筒,使圆筒底部恰好与水平桌面接触,此过程中压力做功为W,如图乙所示.撤除压力,圆筒弹起并与挡板P碰撞,两者一起上升到最大高度后自由落下,此后直杆在桌面上多次跳动.
假设圆筒与挡板P每次碰撞结束时均具有相同速度,碰撞时间均忽略不计.直杆与桌面每次碰撞后均不反弹,直杆始终保持竖直状态.不计一切摩擦与空气阻力,重力加速度大小为g,求:
(1)直杆第一次上升的最大高度h1
(2)直杆运动的总路程h.

查看答案和解析>>

科目:高中物理 来源: 题型:

(10分)探究某种笔的弹跳问题时,把笔分为轻质弹簧、内芯和外壳三部分,其中内芯和外壳质量分别为m和4m.笔的弹跳过程分为三个阶段:

①把笔竖直倒立于水平硬桌面,下压外壳使其下端接触桌面(见图a);

②由静止释放,外壳竖直上升至下端距桌面高度为h1时,与静止的内芯碰撞(见图b);

③碰后,内芯与外壳以共同的速度一起上升到外壳下端距桌面最大高度为h2处(见图c)。

设内芯与外壳的撞击力远大于笔所受重力、不计摩擦与空气阻力,重力加速度为g。求

(1)外壳与碰撞后瞬间的共同速度大小;

(2)从外壳离开桌面到碰撞前瞬间,弹簧做的功;

(3)从外壳下端离开桌面到上升至h2处,笔损失的机械能。

查看答案和解析>>

科目:高中物理 来源: 题型:

(18分)探究某种笔的弹跳问题时,把笔分为轻质弹簧、内芯和外壳三部分,其中内芯和外壳质量分别为m和4m.笔的弹跳过程分为三个阶段:

①把笔竖直倒立于水平硬桌面,下压外壳使其下端接触桌面(见图a);

②由静止释放,外壳竖直上升至下端距桌面高度为h1时,与静止的内芯碰撞(见图b);

③碰后,内芯与外壳以共同的速度一起上升到外壳下端距桌面最大高度为h2处(见图c)。

设内芯与外壳的撞击力远大于笔所受重力、不计摩擦与空气阻力,重力加速度为g。求:

(1)外壳与内芯碰撞后瞬间的共同速度大小;

(2)从外壳离开桌面到碰撞前瞬间,弹簧做的功;

(3)从外壳下端离开桌面到上升至h2处,笔损失的机械能。

查看答案和解析>>

科目:高中物理 来源: 题型:

探究某种笔的弹跳问题时,把笔分为轻质弹簧、内芯和外壳三部分,其中内芯和外壳质量分别为m和4m.笔的弹跳过程分为三个阶段:

①把笔竖直倒立于水平硬桌面,下压外壳使其下端接触桌面(见题24图a);

②由静止释放,外壳竖直上升至下端距桌面高度为h1时,与静止的内芯碰撞(见题24图b);

③碰后,内芯与外壳以共同的速度一起上升到外壳下端距桌面最大高度为h2处(见题24图c)。

设内芯与外壳的撞击力远大于笔所受重力、不计摩擦与空气阻力,重力加速度为g。求:

(1)外壳与内芯碰撞后瞬间的共同速度大小;

(2)从外壳离开桌面到碰撞前瞬间,弹簧做的功;

(3)从外壳下端离开桌面到上升至h2处,笔损失的机械能。

查看答案和解析>>

同步练习册答案