´Ö²Ú¾øÔµµÄË®Æ½Ãæ¸½½ü´æÔÚÒ»¸öƽÐÐÓÚË®Æ½ÃæµÄµç³¡£¬ÆäÖÐÄ³Ò»ÇøÓòµÄµç³¡ÏßÓëxÖáÆ½ÐУ¬ÇÒÑØxÖá·½ÏòµÄµçÊÆ¦ÕÓë×ø±êÖµxµÄ¹ØÏµÈçϱí¸ñËùʾ£º
¸ù¾ÝÉÏÊö±í¸ñÖеÄÊý¾Ý¿É×÷³öÈçϵĦÕ-xͼÏñ¡£ÏÖÓÐÒ»ÖÊÁ¿Îª0.10kg£¬µçºÉÁ¿Îª1.0¡Á10-7C´øÕýµçºÉµÄ»¬¿é£¨¿ÉÊÓ×÷Öʵ㣩£¬ÆäÓëË®Æ½ÃæµÄ¶¯Ä¦²ÁÒòÊýΪ0.20¡£ÎÊ£º
£¨1£©ÓÉÊý¾Ý±í¸ñºÍͼÏñ¸ø³öµÄÐÅÏ¢£¬Ð´³öÑØxÖáµÄµçÊÆ¦ÕÓëxµÄº¯Êý¹ØÏµ±í´ïʽ¡£
£¨2£©Èô½«»¬¿éÎÞ³õËٵطÅÔÚx=0.10m´¦£¬Ôò»¬¿é×îÖÕÍ£Ö¹Ôں䦣¿
£¨3£©ÔÚÉÏÊöµÚ£¨2£©ÎʵÄÕû¸öÔ˶¯¹ý³ÌÖУ¬ËüµÄ¼ÓËÙ¶ÈÈçºÎ±ä»¯£¿µ±ËüλÓÚx=0.15mʱËüµÄ¼ÓËٶȶà´ó£¿
£¨4£©Èô»¬¿é´Óx=0.60m´¦ÒÔ³õËÙ¶Èv0ÑØ-x·½ÏòÔ˶¯£¬ÒªÊ¹»¬¿éÇ¡Äܻص½³ö·¢µã£¬Æä³õËÙ¶Èv0ӦΪ¶à´ó£¿
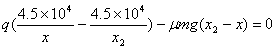
½â£º£¨1£©ÓÉÊý¾Ý±í¸ñºÍͼÏñ¿ÉµÃ£¬µçÊÆ¦ÕÓëx³É·´±È¹ØÏµ£¬¼´
V
£¨2£©Óɶ¯Äܶ¨Àí=0
É軬¿éÍ£Ö¹µÄλÖÃΪx2£¬ÓÐ
¼´
´úÈëÊý¾ÝÓÐ1.0¡Á10-7
¿É½âµÃx2=0.225m£¨ÉáÈ¥x2=0.1m£©
£¨3£©ÏÈ×ö¼ÓËٶȼõСµÄ±ä¼ÓËÙÔ˶¯£¬ºó×ö¼ÓËÙ¶ÈÔö´óµÄ±ä¼õËÙÔ˶¯£¬¼´¼ÓËÙ¶ÈÏȼõСºóÔö´ó
µ±ËüλÓÚx=0.15mʱ£¬Í¼ÏñÉϸõãµÄÇÐÏßбÂʱíʾ³¡Ç¿´óС
E=N/C
»¬¿éÔڸõãµÄˮƽºÏÁ¦
¹Ê»¬¿éµÄ¼ÓËÙ¶Èa=Fx/m =0
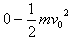
£¨4£©É軬¿éµ½´ïµÄ×î×ó²àλÖÃΪx1£¬Ôò»¬¿éÓɸÃλÖ÷µ»Øµ½³ö·¢µãµÄ¹ý³ÌÖÐ
Óɶ¯Äܶ¨Àí=0
ÓÐ
´úÈëÊý¾ÝÓÐ1.0¡Á10-7
¿É½âµÃx1=0.0375m£¨ÉáÈ¥x1=0.6m£©
ÔÙ¶Ô»¬¿é´Ó¿ªÊ¼Ô˶¯µ½·µ»Ø³ö·¢µãµÄÕû¸ö¹ý³Ì£¬Óɶ¯Äܶ¨Àí
-2=
´úÈëÊý¾ÝÓÐ2¡Á0.20¡Á0.10¡Á10£¨0.60£­0.0375£©=0.5¡Á0.10
¿É½âµÃ¡Ö2.12m/s
Á·Ï°²áϵÁдð°¸
Ïà¹ØÏ°Ìâ

¿ÆÄ¿£º¸ßÖÐÎïÀí À´Ô´£º ÌâÐÍ£º

´Ö²Ú¾øÔµµÄË®Æ½Ãæ¸½½ü´æÔÚÒ»¸öƽÐÐÓÚË®Æ½ÃæµÄµç³¡£¬ÆäÖÐÄ³Ò»ÇøÓòµÄµç³¡ÏßÓëxÖáÆ½ÐУ¬ÇÒÑØxÖá·½ÏòµÄµçÊÆ?Óë×ø±êÖµxµÄ¹ØÏµÈçϱí¸ñËùʾ£º
1 2 3 4 5 6 7 8 9
x/m 0.05 0.10 0.15 0.20 0.25 0.30 0.35 0.40 0.45
¦Õ/105v 9.00 4.50 3.00 2.25 1.80 1.50 1.29 1.13 1.00
¸ù¾ÝÉÏÊö±í¸ñÖеÄÊý¾Ý¿É×÷³öÈçÓÒµÄ?-xͼÏó£®ÏÖÓÐÒ»ÖÊÁ¿Îª0.10kg£¬µçºÉÁ¿Îª1.0¡Á10-7C´øÕýµçºÉµÄ»¬¿é£¨¿ÉÊÓ×÷Öʵ㣩£¬ÆäÓëË®Æ½ÃæµÄ¶¯Ä¦²ÁÒòËØÎª0.20£®ÎÊ£º
£¨1£©ÓÉÊý¾Ý±í¸ñºÍͼÏó¸ø³öµÄÐÅÏ¢£¬Ð´³öÑØxÖáµÄµçÊÆ?ÓëxµÄº¯Êý¹ØÏµ±í´ïʽ£®
£¨2£©Èô½«»¬¿éÎÞ³õËٵطÅÔÚx=0.10m´¦£¬Ôò»¬¿é×îÖÕÍ£Ö¹Ôں䦣¿
£¨3£©ÔÚÉÏÊöµÚ£¨2£©ÎʵÄÕû¸öÔ˶¯¹ý³ÌÖУ¬ËüµÄ¼ÓËÙ¶ÈÈçºÎ±ä»¯£¿µ±ËüλÓÚx=0.15mʱËüµÄ¼ÓËٶȶà´ó£¿
£¨4£©Èô»¬¿é´Óx=0.60m´¦ÒÔ³õËÙ¶Èv0ÑØ-x·½ÏòÔ˶¯£¬ÒªÊ¹»¬¿éÇ¡Äܻص½³ö·¢µã£¬Æä³õËÙ¶Èv0ӦΪ¶à´ó£¿

²é¿´´ð°¸ºÍ½âÎö>>

¿ÆÄ¿£º¸ßÖÐÎïÀí À´Ô´£º ÌâÐÍ£º

¾«Ó¢¼Ò½ÌÍøÈçͼËùʾ£¬´Ö²Ú¾øÔµµÄË®Æ½Ãæ¸½½ü´æÔÚÒ»¸öƽÐÐÓÚË®Æ½ÃæµÄµç³¡£¬ÆäÖÐÄ³Ò»ÇøÓòµÄµç³¡ÏßÓëxÖáÆ½ÐУ¬ÇÒÑØxÖá·½ÏòµÄµçÊÆ?Óë×ø±êÖµxµÄ¹ØÏµ¿ÉÓÃͼÖÐÇúÏß±íʾ£¬Í¼ÖÐбÏßΪ¸ÃÇúÏß¹ýµã£¨0.15£¬3£©µÄÇÐÏߣ®ÏÖÓÐÒ»ÖÊÁ¿Îª0.20kg£¬µçºÉÁ¿Îª+2.0¡Á10-8CµÄ»¬¿éP£¨¿ÉÊÓ×÷Öʵ㣩£¬´Óx=0.10m´¦ÎÞ³õËÙÊÍ·Å£¬ÆäÓëË®Æ½ÃæµÄ¶¯Ä¦²ÁÒòËØÎª0.02£®ÔòÏÂÁÐ˵·¨ÕýÈ·µÄÊÇ£¨¡¡¡¡£©

²é¿´´ð°¸ºÍ½âÎö>>

¿ÆÄ¿£º¸ßÖÐÎïÀí À´Ô´£º ÌâÐÍ£º

¾«Ó¢¼Ò½ÌÍø´Ö²Ú¾øÔµµÄË®Æ½Ãæ¸½½ü´æÔÚÒ»¸öƽÐÐÓÚË®Æ½ÃæµÄµç³¡£¬ÆäÖÐÄ³Ò»ÇøÓòµÄµç³¡ÏßÓëxÖáÆ½ÐУ¬ÇÒÑØxÖá·½ÏòµÄµçÊÆ¦ÕÓë×ø±êÖµxµÄ¹ØÏµÈçϱí¸ñËùʾ£®
1 2 3 4 5 6 7 8 9
x/m 0.05 0.10 0.15 0.20 0.25 0.30 0.35 0.40 0.45
¦Õ/105v 9.00 4.50 3.00 2.25 1.80 1.50 1.29 1.13 1.00
¸ù¾ÝÉÏÊö±í¸ñÖеÄÊý¾Ý¿É×÷³öÈçͼ1ËùʾµÄ¦Õ-xͼÏó£®Èçͼ2Ëùʾ£¬ÏÖÓÐÒ»ÖÊÁ¿Îª0.10kg¡¢µçºÉÁ¿Îª1.0¡Á10-7 C´øÕýµçºÉµÄ»¬¿é£¨¿É¿´×÷Öʵ㣩£¬ÆäÓëË®Æ½ÃæµÄ¶¯Ä¦²ÁÒòÊýΪ0.20£¬g=10m/s2£®
£¨1£©Óɱí¸ñÖеÄÊý¾ÝºÍͼÏó¸ø³öµÄÐÅÏ¢£¬Ð´³öÑØxÖáµÄµçÊÆ¦ÕÓë×ø±êÖµxµÄº¯Êý¹ØÏµ±í´ïʽ£®
£¨2£©Èô½«»¬¿éÎÞ³õËٶȵطÅÔÚx=0.10m´¦£¬Ç󻬿é×îÖÕÍ£Ö¹Ôں䦣¿
£¨3£©ÔÚÉÏÊöµÚ£¨2£©ÎʵÄÕû¸öÔ˶¯¹ý³ÌÖУ¬ËüµÄ¼ÓËÙ¶ÈÈçºÎ±ä»¯£¿µ±ËüλÓÚx=0.15mʱËüµÄ¼ÓËٶȶà´ó£¿£¨µç³¡ÖÐijµã³¡Ç¿Îª¦Õ-xͼÏßÉϸõã¶ÔÓ¦µÄбÂÊ£©

²é¿´´ð°¸ºÍ½âÎö>>

¿ÆÄ¿£º¸ßÖÐÎïÀí À´Ô´£º ÌâÐÍ£º

¾«Ó¢¼Ò½ÌÍøÈçͼËùʾ£¬´Ö²Ú¾øÔµµÄË®Æ½Ãæ¸½½ü´æÔÚÒ»¸öƽÐÐÓÚË®Æ½ÃæµÄµç³¡£¬ÆäÖÐÄ³Ò»ÇøÓòµÄµç³¡ÏßÓëxÖáÆ½ÐУ¬ÔÚxÖáÉϵĵçÊÆ¦ÕÓë×ø±êxµÄ¹ØÏµÓÃÈçͼËùʾÇúÏß±íʾ£¬Í¼ÖÐбÏßΪ¸ÃÇúÏß¹ýµã£¨0.15£¬3£©µÄÇÐÏߣ®ÏÖÓÐÒ»ÖÊÁ¿Îª0.20kg£¬µçºÉÁ¿Îª+2.0¡Á10-8CµÄ»¬¿éP£¨¿ÉÊÓΪÖʵ㣩£¬´Óx=0.10m´¦Óɾ²Ö¹ÊÍ·Å£¬ÆäÓëË®Æ½ÃæµÄ¶¯Ä¦²ÁÒòÊýΪ0.02£®Éè×î´ó¾²Ä¦²ÁÁ¦µÈÓÚ»¬¶¯Ä¦²ÁÁ¦£¬È¡ÖØÁ¦¼ÓËÙ¶Èg=10m/s2£®ÔòÏÂÁÐ˵·¨ÖÐÕýÈ·µÄÊÇ£¨¡¡¡¡£©
A¡¢»¬¿éÔ˶¯µÄ¼ÓËÙ¶ÈÖð½¥¼õСB¡¢»¬¿éÔ˶¯µÄ¼ÓËÙ¶ÈÏȼõСºóÔö´óC¡¢x=0.15m´¦µÄ³¡Ç¿´óСΪ2.0¡Á106N/CD¡¢»¬¿éÔ˶¯µÄ×î´óËÙ¶ÈԼΪ0.1m/s

²é¿´´ð°¸ºÍ½âÎö>>

¿ÆÄ¿£º¸ßÖÐÎïÀí À´Ô´£º2011-2012ѧÄêºÓÄÏÊ¡ÉÌÇðÊиßÈý5ÔµÚÈý´ÎÄ£Ä⿼ÊÔÀí¿Æ×ÛºÏÎïÀíÊÔ¾í£¨½âÎö°æ£© ÌâÐÍ£ºÑ¡ÔñÌâ

ÈçͼËùʾ£¬´Ö²Ú¾øÔµµÄË®Æ½Ãæ¸½½ü´æÔÚÒ»¸öƽÐÐÓÚË®Æ½ÃæµÄµç³¡£¬ÆäÖÐÄ³Ò»ÇøÓòµÄµç³¡ÏßÓëxÖáÆ½ÐУ¬ÔÚxÖáÉϵĵçÊÆ¦ÕÓë×ø±êxµÄ¹ØÏµÓÃͼÖÐÇúÏß±íʾ£¬Í¼ÖÐбÏßΪ¸ÃÇúÏß¹ý×ø±êµã£¨0£®15£¬3£®0£©µÄÇÐÏß¡£ÏÖÓÐÒ»ÖÊÁ¿Îª0£®20kg£¬µçºÉÁ¿Îª£«2£®0¡Á10£­8CµÄ»¬¿éP£¨¿ÉÊÓ×÷Öʵ㣩£¬´Óx£½0£®10m´¦Óɾ²Ö¹ÊÍ·Å£¬ÆäÓëË®Æ½ÃæµÄ¶¯Ä¦²ÁÒòÊýΪ0£®02¡£È¡ÖØÁ¦¼ÓËÙ¶Èg£½10m£¯s2¡£ÔòÏÂÁÐ˵·¨ÖÐÕýÈ·µÄÊÇ

A£®»¬¿éÔ˶¯µÄ¼ÓËÙ¶È´óСÖð½¥¼õС

B£®»¬¿éÔ˶¯µÄËÙ¶ÈÏȼõСºóÔö´ó  

C£®x£½0£®15m´¦µÄ³¡Ç¿´óСΪ2£®0¡Á106N£¯C

D£®»¬¿éÔ˶¯µÄ×î´óËÙ¶ÈԼΪ0£®10m£¯s

 

²é¿´´ð°¸ºÍ½âÎö>>

ͬ²½Á·Ï°²á´ð°¸