精英家教网 > 高中物理 > 题目详情
一个静止的铀核(原子质量为232.0372u)放出一个α粒子(原子质量为4.0026u)后衰变成钍核(原子质量为228.0287u)。(已知:原子质量单位1u=1.67×10-27kg,1u相当于931MeV)
(1)写出核衰变反应方程;
(2)算出该核衰变反应中释放出的核能;
(3)假设反应中释放出的核能全部转化为钍核和α粒子的动能,则钍核获得的动能有多大?
解:(1)
(2)质量亏损△m=0.0059u, △E=△mc2=0.0059×931MeV=5.49MeV
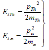
(3)系统动量守恒,钍核和α粒子的动量大小相等,即 

所以钍核获得的动能
练习册系列答案
相关习题

科目:高中物理 来源: 题型:

一个静止的铀核(原子质量为232.0372u)放出一个α粒子(原子质量为4.0026u)后衰变成钍核(原子质量为228.0287u)。(已知:原子质量单位1u=1.67×10—27kg,1u相当于931MeV)

(1)写出核衰变反应方程;

(2)算出该核衰变反应中释放出的核能;

(3)假设反应中释放出的核能全部转化为钍核和α粒子的动能,则钍核获得的动能有多大?

查看答案和解析>>

科目:高中物理 来源: 题型:

一个静止的铀核(原子质量为232.0372u)放出一个α粒子(原子质量为4.0026u)后衰变成钍核(原子质量为228.0287u)。(已知:原子质量单位1u=1.67×10—27kg,1u相当于931MeV)

  (1)写出核衰变反应方程; 

  (2)算出该核衰变反应中释放出的核能;

  (3)假设反应中释放出的核能全部转化为钍核和α粒子的动能,则钍核获得的动能有多大?

查看答案和解析>>

科目:高中物理 来源:2013-2014学年湖北新洲一中等三校高三上期末联考理科综合物理试卷(解析版) 题型:选择题

一个静止的铀核(原子质量为232.0372u)放出一个a粒子(原子质量为4.0026u)后衰变成钍核(原子质量为228.0287 u )。(已知:原子质量单位相当于931MeV)

①写出核衰变反应方程;

②算出该核衰变反应中释放出的核能;

③假设反应中释放出的核能全部转化为钍核和a粒子的动能,则钍核获得的动能有多大?

 

查看答案和解析>>

科目:高中物理 来源:2013-2014学年江苏省无锡市等三校高三12月联考物理试卷(解析版) 题型:计算题

一个静止的铀核(原子质量为232.0372u)放出一个α粒子(原子质量为4.0026u)后衰变成钍核(原子质量为228.0287u)。(已知:原子质量单位1u=1.67×10—27kg,1u相当于931MeV)。

(1)写出核衰变反应方程并算出该核衰变反应中释放出的核能;

(2)假设反应中释放出的核能全部转化为钍核和α粒子的动能,则钍核获得的动能有多大?

 

查看答案和解析>>

科目:高中物理 来源:2010届高三物理每周精析精练:原子物理 题型:计算题

 一个静止的铀核(原子质量为232.0372u)放出一个α粒子(原子质量为4.0026u)后衰变成钍核(原子质量为228.0287u)。(已知:原子质量单位1u=1.67×10—27kg,1u相当于931MeV)

(1)写出核衰变反应方程;

(2)算出该核衰变反应中释放出的核能;

(3)假设反应中释放出的核能全部转化为钍核和α粒子的动能,则钍核获得的动能有多大?

 

 

 

 

 

 

 

查看答案和解析>>

同步练习册答案