精英家教网 > 高中物理 > 题目详情

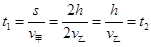
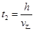
甲、乙、丙三个小球分别位于如图所示的竖直平面内,甲、丙在同一条水平线上、间距为s,乙、丙在同一条竖直线上间距为h。三球在同一时刻开始运动,甲以初速度做平抛运动,乙以初速度做竖直上抛运动,丙做自由落体运动,且,下列情况可能会发生的是:  (     )

A.若,则甲丙两球先相遇

B.若,则甲丙两球先相遇

C.若,则甲丙两球先相遇

D.若,则三球必同时相遇

 

【答案】

ACD

【解析】

试题分析:以丙球为参考系,甲做向右的匀速直线运动,乙向上做匀速直线运动,故甲与丙相遇时间为,乙与丙相遇时间为,若,则,甲丙两球先相遇;若,则,乙丙两球先相遇;若,故无法判断时间长短,可能是甲与丙先相遇,也可能是乙与丙先相遇,还可能是三个小球同时相遇;若,则,三球必同时相遇,所以正确选项为A、C和D。

考点:本题考查了自由落体运动、平抛运动和竖直上抛运动。

 

练习册系列答案
相关习题

科目:高中物理 来源: 题型:

(1)用“单摆测定重力加速度”的实验中,①用游标为50分度的卡尺,测定某小球的直径时,卡尺上的示数如图1,可读出小球的直径为
 
mm.
②关于单摆摆长和周期的测量,下列说法正确的是
 

A.测量摆线的长度时应将摆球取下 后再测量
B.测量时间应从摆球经过平衡位置时开始计时
C.测量时间应从摆球经过最大摆角位置时开始计时
D.只要测量一次全振动的时间即可知道单摆振动的周期
(2)现有一刻度盘总共有N个小格、且刻度均匀、量程未准确确定的电压表V1,已知其量程在13-16V之间,内阻r1=150kΩ.为测定其准确量程U1,实验室提供了如下表所列的器材.要求方法简捷,尽可能减少误差,并能测出多组数据.
①某同学设计了如图2所示的甲、乙、丙三种电路图你认为选择
 
电路图进行测量.
精英家教网
器材(代号) 规格
标准电压表V2 量程3V,内阻r2=30kΩ
电流表A 量程3A,内阻r3=0.01Ω
滑动变阻器R 总阻值1kΩ
稳压电源E 20V,内阻很小
开关S
导线若干
②根据选择的那个电路图,在图3中,将下列有关器材连成测量电路.
③若选择测量数据中的一组来计算V1量程U1,则所用的表达式U1=
 
,式中各符号表示的物理量是:
 

查看答案和解析>>

科目:高中物理 来源: 题型:

(2007?广东模拟)(1)某同学测定匀变速直线运动的加速度时,得到了在不同拉力下的A、B、C、D、…等几条较为理想的纸带,并在纸带上每5个点取一个计数点,即相邻两计数点间的时间间隔为0.1s,将每条纸带上的计数点都记为0、1、2、3、4、5…,如图所示甲、乙、丙三段纸带,分别是从三条不同纸带上撕下的.
①在甲、乙、丙三段纸带中,属于纸带A的是

②打A纸带时,物体的加速度大小是
3.1m/s2
3.1m/s2


(2)在竖直放置的立柱上端有一个电磁铁,通电时,小球被吸在电磁铁上,断电时,小球自由下落,计时装置开始计时.立柱上有可以移动的光电门.当小球经过光电门时,光电计时装置能测出小球从初始位置到这个光电门所 时间t,再用刻度尺测出电磁铁到光电门的距离s.为了探究自由落体的位移s与下落时间t的关系.

①设计一个记录实验数据的表格
②为了达到实验目的,你猜想s可能与
t
t
成正比,或可能与
t2
t2
成正比,或可能与
t3
t3
成正比,…根据你能猜想,为了达到实验目的,应如何处理实验数据?

查看答案和解析>>

科目:高中物理 来源: 题型:解答题

(1)某同学测定匀变速直线运动的加速度时,得到了在不同拉力下的A、B、C、D、…等几条较为理想的纸带,并在纸带上每5个点取一个计数点,即相邻两计数点间的时间间隔为0.1s,将每条纸带上的计数点都记为0、1、2、3、4、5…,如图所示甲、乙、丙三段纸带,分别是从三条不同纸带上撕下的.
①在甲、乙、丙三段纸带中,属于纸带A的是______
②打A纸带时,物体的加速度大小是______

(2)在竖直放置的立柱上端有一个电磁铁,通电时,小球被吸在电磁铁上,断电时,小球自由下落,计时装置开始计时.立柱上有可以移动的光电门.当小球经过光电门时,光电计时装置能测出小球从初始位置到这个光电门所 时间t,再用刻度尺测出电磁铁到光电门的距离s.为了探究自由落体的位移s与下落时间t的关系.

①设计一个记录实验数据的表格
②为了达到实验目的,你猜想s可能与______成正比,或可能与______成正比,或可能与______成正比,…根据你能猜想,为了达到实验目的,应如何处理实验数据?

查看答案和解析>>

科目:高中物理 来源: 题型:

(10分)(1)(2分)甲、乙、丙三位同学在使用不同的游标卡尺测量同一个物体的长度时,测量的结果分别如下,

甲同学:使用游标为50分度的卡尺,读数为12.045cm

乙同学:使用游标为10分度的卡尺,读数为12.04cm

丙同学:使用游标为20分度的卡尺,读数为12.045cm

从这些实验数据中可以看出读数肯定有错误的是          同学。

(2)、(2分)在实验室中用螺旋测量金属丝的直径时,如上图所示,由图可知金属丝的直径是                mm。

(3)、(6分)为了“探究碰撞中的不变量”,小明在光滑桌面上放有AB两个小球.A球的质量为0.3kg,以速度8m/s跟质量为0.1kg、静止在桌面上的B球发生碰撞,并测得碰撞后B球的速度为9m/s,A球的速度变为5m/s,方向与原来相同.根据这些实验数据,小明对这次碰撞的规律做了如下几种猜想.

【猜想1】碰撞后B球获得了速度,A球把速度传递给了B球.

【猜想2】碰撞后B球获得了动能,A球把减少的动能全部传递给了B球.

你认为以上的猜想成立吗?若不成立,请你根据实验数据,通过计算说明,有一个什么物理量,在这次的碰撞中,B球所增加的这个物理量与A球所减少的这个物理量相等吗?

查看答案和解析>>

科目:高中物理 来源:2006-2007学年广东省高三(下)综合测试物理试卷(一)(解析版) 题型:解答题

(1)某同学测定匀变速直线运动的加速度时,得到了在不同拉力下的A、B、C、D、…等几条较为理想的纸带,并在纸带上每5个点取一个计数点,即相邻两计数点间的时间间隔为0.1s,将每条纸带上的计数点都记为0、1、2、3、4、5…,如图所示甲、乙、丙三段纸带,分别是从三条不同纸带上撕下的.
①在甲、乙、丙三段纸带中,属于纸带A的是______
②打A纸带时,物体的加速度大小是______

(2)在竖直放置的立柱上端有一个电磁铁,通电时,小球被吸在电磁铁上,断电时,小球自由下落,计时装置开始计时.立柱上有可以移动的光电门.当小球经过光电门时,光电计时装置能测出小球从初始位置到这个光电门所 时间t,再用刻度尺测出电磁铁到光电门的距离s.为了探究自由落体的位移s与下落时间t的关系.

①设计一个记录实验数据的表格
②为了达到实验目的,你猜想s可能与______成正比,或可能与______成正比,或可能与______成正比,…根据你能猜想,为了达到实验目的,应如何处理实验数据?

查看答案和解析>>

同步练习册答案