精英家教网 > 高中物理 > 题目详情
如图,一根细绳跨过轻而无摩擦的滑轮,在绳的两端悬挂质量分别为M=2㎏和m=1㎏的物体,滑轮系在由天花板垂下的链子OA上。试求:当两物体匀加速运动时
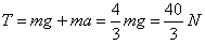
(1)细绳的拉力T;
(2)链子OA的拉力F。
解:(1)据牛顿第二定律
对M有:
对m有:
解得:

(2)据物体的平衡得
练习册系列答案
相关习题

科目:高中物理 来源: 题型:

(2005?西城区模拟)如图所示,离水平地面高1.5L的一个光滑小定滑轮上,静止地搭着一根链条.该链条长为L,质量为m(可以看作质量分布均匀).由于受到一个小小的扰动,链条开始无初速滑动,最后落到水平面上.问:
(1)当该链条的一端刚要接触地面的瞬间(整个链条还在空间),链条的速度是多大?
(2)现在用一根细绳的一端a系住链条的一端,轻绳跨过定滑轮后,将绳拉紧,并在其另一端b用竖直向下的力F缓慢地拉链条,使它仍然搭到定滑轮上去,最终重新静止在定滑轮上,那么拉力F做的功是多少?(不计空气阻力)

查看答案和解析>>

科目:高中物理 来源: 题型:

精英家教网在探究静摩擦力变化的规律及滑动摩擦力规律的实验中,特设计了如图甲所示的演示装置,力传感器A与计算机连接,可获得力随时间变化的规律,将力传感器固定在光滑水平桌面上,测力端通过细绳与一滑块相连(调节传感器高度可使细绳水平),滑块放在较长的小车上,小车一端连接一根细绳并跨过光滑的轻定滑轮系一只空沙桶(调节滑轮可使桌面上部细绳水平),整个装置处于静止状态.实验开始时打开传感器同时缓慢向沙桶里倒入沙子,小车一旦运动起来,立即停止倒沙子,若力传感器采集的图象如图乙所示,则结合该图象,下列说法中正确的是(  )

查看答案和解析>>

科目:高中物理 来源: 题型:

如图所示,离水平地面高1. 5L的一个光滑小定滑轮上,静止地搭着一根链条.该链条长为L,质量为m(可以看作质量分布均匀).由于受到一个小小的扰动,链条开始无初速滑动,最后落到水平面上.问:

(1)当该链条的一端刚要接触地面的瞬间(整个链条还在空中),链条的速度是多大?

(2)现在用一根细绳的一端a系住链条的一端,轻绳跨过定滑轮后,将绳拉紧,并在其另一端b用竖直向下的力F缓慢地拉链条,使它仍然搭到定滑轮上去,最终重新静止在定滑轮上,那么拉力F做的功是多少?(不计空气阻力)

查看答案和解析>>

科目:高中物理 来源:2005年北京市西城区、东城区十校高三第三次联考物理试卷(解析版) 题型:解答题

如图所示,离水平地面高1.5L的一个光滑小定滑轮上,静止地搭着一根链条.该链条长为L,质量为m(可以看作质量分布均匀).由于受到一个小小的扰动,链条开始无初速滑动,最后落到水平面上.问:
(1)当该链条的一端刚要接触地面的瞬间(整个链条还在空间),链条的速度是多大?
(2)现在用一根细绳的一端a系住链条的一端,轻绳跨过定滑轮后,将绳拉紧,并在其另一端b用竖直向下的力F缓慢地拉链条,使它仍然搭到定滑轮上去,最终重新静止在定滑轮上,那么拉力F做的功是多少?(不计空气阻力)

查看答案和解析>>

同步练习册答案