ÈçͼËùʾ£¬A¡¢BÁ½¸ö¾ØÐÎľ¿éÓÃÇᵯ»ÉÏà½Ó¾²Ö¹ÔÚˮƽµØÃæÉÏ£¬µ¯»ÉµÄ¾¢¶ÈϵÊýΪk£¬Ä¾¿éAºÍľ¿éBµÄÖÊÁ¿¾ùΪm¡£
£¨1£©ÈôÓÃÁ¦½«Ä¾¿éA»ºÂýµØÊúÖ±ÏòÉÏÌáÆð£¬Ä¾¿éAÏòÉÏÌáÆð¶à´ó¸ß¶Èʱ£¬Ä¾¿éB½«À뿪ˮƽµØÃæ¡£
£¨2£©Èôµ¯»ÉµÄ¾¢¶ÈϵÊýkÊÇδ֪µÄ£¬½«Ò»ÎïÌåC´ÓAµÄÕýÉÏ·½Ä³Î»Öô¦ÎÞ³õËÙÊÍ·Å£¬CÓëAÏàÅöºóÁ¢¼´Õ³ÔÚÒ»Æð£¨²»ÔÙ·ÖÀ룩ÏòÏÂÔ˶¯£¬ËüÃǵ½´ï×îµÍµãºóÓÖÏòÉÏÔ˶¯¡£ÒÑÖªCµÄÖÊÁ¿Îªmʱ£¬°ÑËü´Ó¾àA¸ßΪH´¦ÊÍ·Å£¬Ôò×îÖÕÄÜʹB¸ÕºÃÀ뿪µØÃæ¡£ÈôCµÄÖÊÁ¿Îª£¬ÒªÊ¹BʼÖÕ²»À뿪µØÃ棬ÔòÊÍ·Åʱ£¬C¾àAµÄ¸ß¶Èh²»Äܳ¬¹ý¶àÉÙ£¿
½â£º£¨1£©¿ªÊ¼Ê±£¬Ä¾¿éA´¦ÓÚÆ½ºâ£¬Ôòkx1=mg£¨µ¯»ÉѹËõ£©
      ľ¿éB¸ÕºÃÀ뿪µØÃæÊ±£¬ÓÐkx2=mg£¨µ¯»ÉÉ쳤£©
      ¹Êľ¿éAÏòÉÏÌáÆðµÄ¸ß¶ÈΪ
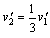
£¨2£©Îï¿éCµÄÖÊÁ¿Îªmʱ£¬Ëü×ÔÓÉÏÂÂäH¸ß¶ÈʱµÄËÙ¶È ¢Ù
      ÉèCÓëAÅöײºóµÄ¹²Í¬ËÙ¶ÈΪv2£¬¸ù¾Ý¶¯Á¿Êغ㶨ÂÉ£¬ÓÐ
      Ôò ¢Ú
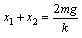
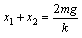
      ÒÔºóA¡¢C¼ÌÐøÑ¹Ëõµ¯»É£¬ºóÓÖÏòÉϵ¯Æð£¬×îÖÕÄÜʹľ¿éB¸ÕºÃÀ뿪µØÃæ¡£´Ë¹ý³ÌÖУ¬A¡¢CÉÏÉýµÄ¸ß¶ÈΪ£¬ÓÉÓÚ×î³õµ¯»ÉµÄѹËõÁ¿x1Óë×îºóµÄÉ쳤Á¿x2ÏàµÈ£¬ËùÒÔ£¬µ¯»ÉÊÆÄÜÏàµÈ£¬¸ù¾Ý»úеÄÜÊØºã¶¨ÂÉ£¬ÓÐ ¢Û 
      Îï¿éCµÄÖÊÁ¿ÎªÊ±£¬ÉèÔÚ¾àA¸ßh´¦×ÔÓÉÏÂÂäºó¸ÕºÃÄÜʹľ¿éBÀ뿪µØÃæ
      ÔòCÏÂÂäh¸ß¶ÈʱµÄËÙ¶È ¢Ü
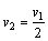
      ÉèCÓëAÅöײºóµÄ¹²Í¬ËÙ¶ÈΪ£¬ÔòÓÐ
      ½âµÃ ¢Ý
      A¡¢CÅöºóÉÏÉý¸ß¶Èʱ£¬Ä¾¿éB¸ÕºÃÀ뿪µØÃ棬´Ë¹ý³ÌÖУ¬ÓÉ»úеÄÜÊØºã¶¨ÂÉÓÐ ¢Þ
      ÓÉÒÔÉϸ÷ʽÏûÈ¥½âµÃ
Á·Ï°²áϵÁдð°¸
Ïà¹ØÏ°Ìâ

¿ÆÄ¿£º¸ßÖÐÎïÀí À´Ô´£º ÌâÐÍ£º

ÈçͼËùʾ£¬A¡¢BÁ½¸öÎï¿éµÄÖØÁ¦·Ö±ðÊÇGA=3N£¬GB=4N£¬µ¯»ÉµÄÖØÁ¦²»¼Æ£¬Õû¸ö×°ÖÃÑØÊúÖ±·½Ïò´¦ÓÚ¾²Ö¹×´Ì¬£¬Õâʱµ¯»ÉµÄµ¯Á¦F=2N£¬ÔòÌ컨°åÊܵ½µÄÀ­Á¦ºÍµØ°åÊܵ½µÄѹÁ¦£¬ÓпÉÄÜÊÇ£¨¡¡¡¡£©

²é¿´´ð°¸ºÍ½âÎö>>

¿ÆÄ¿£º¸ßÖÐÎïÀí À´Ô´£º ÌâÐÍ£º

ÈçͼËùʾ£¬A¡¢BÁ½¸öÎïÌå¼äÓÃ×î´óÕÅÁ¦Îª100NµÄÇáÉþÏàÁ¬£¬mA=4kg£¬mB=8kg£¬ÔÚÀ­Á¦FµÄ×÷ÓÃÏÂÏòÉϼÓËÙÔ˶¯£¬ÎªÊ¹ÇáÉþ²»±»À­¶Ï£¬FµÄ×î´óÖµÊǶàÉÙ£¿£¨gÈ¡10m/s2£©

²é¿´´ð°¸ºÍ½âÎö>>

¿ÆÄ¿£º¸ßÖÐÎïÀí À´Ô´£º ÌâÐÍ£º

¾«Ó¢¼Ò½ÌÍøÈçͼËùʾ£¬A¡¢BÁ½¸öСÎïÌ壨¿É¿´³ÉÖʵ㣩µÄÖÊÁ¿·Ö±ðΪ2m¡¢m£¬ËüÃÇ˨½ÓÔÚ¿ç¹ý¶¨»¬ÂÖµÄϸÉþÁ½¶Ë£¬Ï¸Éþ²»¿ÉÉ쳤£¬ÇÒÄܳÐÊÜ×ã¹»´óµÄÀ­Á¦£®BÎïÌåÐüµõמ²Ö¹Ê±£¬AÒ²¾²Ö¹ÔÚµØÃæÉÏ£¬A¡¢BÓ붨»¬ÂÖÂÖÖáÖ®¼äµÄÊúÖ±¾àÀë·Ö±ðΪ2L¡¢L£®ÏÖ½«BÎïÌåÊúÖ±ÏòÉÏÌá¸ß¾àÀël£¬ÔÙ½«Æä´Ó¾²Ö¹ÊÍ·Å£®Ã¿´ÎϸÉþ±»À­Ö±Ê±A¡¢BËٶȵĴóСÁ¢¼´±ä³ÉÏàµÈ£¬ÇÒËÙ¶È·½ÏòÏà·´£¬ÓÉÓÚϸÉþ±»À­Ö±µÄʱ¼ä¼«¶Ì£¬´Ë¹ý³ÌÖÐÖØÁ¦µÄ×÷ÓÿÉÒÔºöÂÔ²»¼Æ£®ÎïÌåÓëµØÃæ½Ó´¥Ê±£¬ËÙ¶ÈÁ¢¼´±äΪ0£¬Ö±µ½Ôٴα»Ï¸ÉþÀ­Æð£®Ï¸ÉþʼÖÕÔÚ»¬ÂÖÉÏ£¬ÇÒ²»¼ÆÒ»ÇÐĦ²Á£®ÖØÁ¦¼ÓËÙ¶ÈΪg£®Çó
£¨1£©Ï¸ÉþµÚÒ»´Î±»À­Ö±Ë²¼äÉþ¶ÔA³åÁ¿µÄ´óС£»
£¨2£©AµÚÒ»´ÎÉÏÉý¹ý³Ì¾àÀëµØÃæµÄ×î´ó¸ß¶È£»
£¨3£©AÔ˶¯µÄ×Ü·³Ì£®

²é¿´´ð°¸ºÍ½âÎö>>

¿ÆÄ¿£º¸ßÖÐÎïÀí À´Ô´£º ÌâÐÍ£º

¾«Ó¢¼Ò½ÌÍøÈçͼËùʾ£¬A¡¢BÁ½¸öÎïÌå±»Ò»¸öÊúÖ±ÏòÉÏÁ¦FÍÐ×Å£¬´¦ÓÚ¾²Ö¹×´Ì¬£¬ÔòAÎïÌåÒ»¹²ÊÜ
 
¸öÁ¦£¬BÎïÌåÒ»¹²ÊÜ
 
¸öÁ¦£®

²é¿´´ð°¸ºÍ½âÎö>>

¿ÆÄ¿£º¸ßÖÐÎïÀí À´Ô´£º ÌâÐÍ£º

¾«Ó¢¼Ò½ÌÍøÈçͼËùʾ£¬a¡¢bÁ½¸ö´øÕýµçµÄÁ£×Ó£¬ÒÔÏàͬµÄËÙ¶ÈÏȺó´¹Ö±Óڵ糡Ïß´Óͬһµã½øÈëÆ½Ðаå¼äµÄÔÈÇ¿µç³¡ºó£¬aÁ£×Ó´òÔÚB°åµÄa¡äµã£¬bÁ£×Ó´òÔÚB°åµÄb¡äµã£¬Èô²»¼ÆÖØÁ¦£¬Ôò£¨¡¡¡¡£©
A¡¢aµÄµçºÉÁ¿Ò»¶¨´óÓÚbµÄµçºÉÁ¿B¡¢bµÄÖÊÁ¿Ò»¶¨´óÓÚaµÄÖÊÁ¿C¡¢aµÄ±ÈºÉÒ»¶¨´óÓÚbµÄ±ÈºÉD¡¢bµÄ±ÈºÉÒ»¶¨´óÓÚaµÄ±ÈºÉ

²é¿´´ð°¸ºÍ½âÎö>>

ͬ²½Á·Ï°²á´ð°¸