精英家教网 > 高中物理 > 题目详情

如图所示,电子在电压为V1的加速电场中由静止开始运动,然后进入电压为V2的两块平行极板间的电场中,入射方向和极板平行。整个装置放在真空中,在满足电子能射出平行板区的条件下,一定能使电子的偏移量h变大的是

A.U1变大、U2变大

B.U1变小、U2变大

C.U1变大、U2变小

D.U1变小、U2变小

 

【答案】

B

【解析】

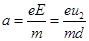
试题分析:在加速电场中,根据动能定理有,进入偏转电场后,水平方向匀速直线运动,运动时间为极板长度。竖直方向受到电场力为两极板间距,竖直方向做初速度0的匀加速直线运动,,竖直方向位移,要使偏移量变大,只能使U1变小、U2变大,选项B对。

考点:带电粒子在匀强电场中的运动

 

练习册系列答案
相关习题

科目:高中物理 来源: 题型:

如图所示,电子在电压为U1的加速电场中由静止开始运动,然后进入电压为U2的两块平行极板间的电场中,入射方向和极板平行.整个装置放在真空中,在满足电子能射出平行板区的条件下,一定能使电子的偏角θ变大的是(  )

查看答案和解析>>

科目:高中物理 来源: 题型:

精英家教网如图所示,电子在电压为U1的电场中由静止加速后,垂直射入电压为U2的偏转电场.在满足电子能射出偏转电场的条件下,下列四种情况中,一定能使电子的偏转角变大的是(  )
A、U1变大,U2变大B、U1变小,U2变大C、U1变大,U2变小D、U1变小,U2变小

查看答案和解析>>

科目:高中物理 来源:2013-2014学年福建省厦门市高三上学期期末质检物理试卷(解析版) 题型:选择题

如图所示,电子在电压为V1的加速电场中由静止开始运动,然后进入电压为V2的两块平行极板间的电场中,入射方向和极板平行。整个装置放在真空中,在满足电子能射出平行板区的条件下,一定能使电子的偏移量h变大的是

A.U1变大、U2变大

B.U1变小、U2变大

C.U1变大、U2变小

D.U1变小、U2变小

 

查看答案和解析>>

科目:高中物理 来源:2013-2014学年福建省厦门市高三上学期期末质检物理试卷(解析版) 题型:选择题

如图所示,电子在电压为V1的加速电场中由静止开始运动,然后进入电压为V2的两块平行极板间的电场中,入射方向和极板平行。整个装置放在真空中,在满足电子能射出平行板区的条件下,一定能使电子的偏移量h变大的是

A.U1变大、U2变大

B.U1变小、U2变大

C.U1变大、U2变小

D.U1变小、U2变小

 

查看答案和解析>>

科目:高中物理 来源:2013-2014学年福建省厦门市高三上学期期末质检物理试卷(解析版) 题型:选择题

如图所示,电子在电压为V1的加速电场中由静止开始运动,然后进入电压为V2的两块平行极板间的电场中,入射方向和极板平行。整个装置放在真空中,在满足电子能射出平行板区的条件下,一定能使电子的偏移量h变大的是

A.U1变大、U2变大

B.U1变小、U2变大

C.U1变大、U2变小

D.U1变小、U2变小

 

查看答案和解析>>

同步练习册答案