精英家教网 > 高中物理 > 题目详情
(选修3-5选做题)
如图所示,质量为m的木块A放在光滑的水平面上,木块的长度为l,另一个质量为M=3m的小球B以速度v0在水平面上向左运动并与A在距竖直墙壁为s处发生碰撞,已知碰后木块A的速度大小为v0,木块A与墙壁的碰撞过程中无机械能损失,且碰撞时间极短,小球的半径可忽略不计。求木块和小球发生第二次碰撞时,小球到墙壁的距离。
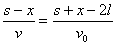
解:小球与木块第一次碰撞过程动量守恒,设碰撞后小球的速度大小为v,取水平向左为正方向,因此有:
Mv0=mv0+Mv
解得:
设第二次碰撞时小球到墙的距离为x,则在两次碰撞之间小球运动路程为s-x,木块运动的路程为s+x-2l
由于小球和木块在两次碰撞之间运动的时间相同,所以应有

解得
练习册系列答案
相关习题

科目:高中物理 来源:河北省模拟题 题型:计算题

(选修3-5选做题)
如图所示,质量分别为mA=6kg,mB=2kg的A、B两个小物块用细线栓接静止在光滑的水平面上,中间放一被压缩的轻弹簧,左端与A连接,右端与B不连接。现剪断细线,A、B被弹簧弹开,离开弹簧时,B物体的速度为6m/s,此后与右侧的挡板发生碰撞,碰撞没有能量损失。求:  
(1)细线被剪断前,弹簧的弹性势能;
(2)B物体被挡板反弹后,通过弹簧再次与A发生作用的过程中,弹簧具有弹性势能的最大值。

查看答案和解析>>

科目:高中物理 来源:陕西省模拟题 题型:计算题

(选修3-5选做题)
动量分别为5kgm/s和6kgm/s的小球AB沿光滑平面上的同一条直线同向运动,A追上B并发生碰撞后。若已知碰撞后A的动量减小了2kgm/s,而方向不变,那么AB质量之比的可能范围是什么?

查看答案和解析>>

科目:高中物理 来源:江西省模拟题 题型:计算题

(选修3-5选做题)
如图所示,光滑水平面上有带有1/4光滑圆弧轨道的滑块,其质量为2m,一质量为m的小球以速度v0沿水平面滑上轨道,并能从轨道上端飞出,则:
(1)小球从轨道上端飞出时,滑块的速度为多大?
(2)小球从轨道左端离开滑块时,滑块的速度又为多大?

查看答案和解析>>

科目:高中物理 来源:山东省模拟题 题型:计算题

(选修3-5选做题)
如图所示,两个质量都是M=0.4Kg的沙箱AB并排放在光滑的水平面上,一颗质量为m=0.1Kg的子弹以v0=200m/s的水平速度射向A,射穿A后,进入B并最终一起运动,已知子弹恰好射穿A时,子弹的速度v1=100m/s,求沙箱AB的最终速度。

查看答案和解析>>

科目:高中物理 来源:模拟题 题型:填空题

(选修3-5选做题)
2011年3月11日,日本东海岸发生9.0级地震,地震引发的海啸摧毁了日本福岛第一核电站的冷却系统,最终导致福岛第一核电站的6座核反应堆不同程度损坏,向空气中泄漏大量碘-131和铯-137等放射性物质,这些放射性物质随大气环流飘散到许多国家。4月4日,日本开始向太平洋排放大量带有放射性物质的废水,引起周边国家的指责。
(1)福岛第一核电站是利用核__________(填“衰”、“裂”、“聚”)变时释放的核能来发电。
(2)铯-137进行β衰变的实质是__________。

查看答案和解析>>

同步练习册答案