精英家教网 > 高中物理 > 题目详情

如图1所示,在x轴上方有垂直于xy平面向里的匀强磁场,磁感应强度为B;在x轴下方有沿y轴负方向的匀强电场,场强为E.一质量为m、电荷量为-q的粒子从坐标原点O沿着y轴正方向射出,射出之后,第三次到达x轴时,它与点O的距离为L,求此粒子射出时的速度v和运动的总路程s(重力不计).


根据粒子受力情况作出图2所示路线,则有


                               L=4R①
设粒子初速度为v,有qvB=MV2/R②
由①②式可算得v=qBL/4M③
设粒子进入电场做减速运动的最大路程为s1,加速度为a,则
                                 v2=2as1
                                 qE=ma⑤
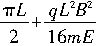
粒子运动的总路程s=2πR+2s1
由①③④⑤⑥式得s=


【试题分析】
练习册系列答案
相关习题

科目:高中物理 来源: 题型:

如图1所示,在x轴上0到d范围内存在电场(图中未画出),x轴上各点的电场沿着x轴正方向,并且电场强度大小E随x的分布如图2所示;在x轴上d到2d范围内存在垂直纸面向里的匀强磁场,磁感应强度大小为B.一质量为m,电量为+q粒子沿x轴正方向以一定速度从O点进入电场,最终粒子恰从坐标为(2d,
3
3
d
)的P点离开磁场.不计粒子重力.
(1)求在x=0.5d处,粒子的加速度大小a;
(2)求粒子在磁场中的运动时间t;
(3)类比是一种常用的研究方法.对于直线运动,教科书中讲解了由v-t图象求位移的方法.请你借鉴此方法,并结合其他物理知识,求电场对粒子的冲量大小I.

查看答案和解析>>

科目:高中物理 来源: 题型:

如图1所示,在x轴上有两个点电荷,一个带正电Q1,一个带负电Q2,且Q1=2Q2.用E1和E2分别表示两个电荷产生的场强的大小,则在x轴上()
A.E1=E2的点只有一处,该处合场强为零
B.E1=E2的点共有两处,一处合场强为零,另一处合场强为2E2
C.E1=E2的点共有三处,其中两处合场强为零,另一处合场强为2E2
D.E1=E2的点共有三处,其中一处合场强为零,另两处合场强为2E2

查看答案和解析>>

科目:高中物理 来源:2013届北京市西城区高三上学期期末考试物理试卷(带解析) 题型:计算题

如图1所示,在x轴上0到d范围内存在电场(图中未画出),x轴上各点的电场沿着x轴正方向,并且电场强度大小Ex的分布如图2所示;在x轴上d到2d范围内存在垂直纸面向里的匀强磁场,磁感应强度大小为B。一质量为m,电量为的粒子沿x轴正方向以某一初速度从O点进入电场,最终粒子恰从坐标为(2d)的P点离开磁场。不计粒子重力。

(1)求在x=0.5d处,粒子的加速度大小a
(2)求粒子在磁场中运动时间t
(3)类比是一种常用的研究方法。对于直线运动,教科书中讲解了由v-t图像求位移的方法。请你借鉴此方法,并结合其他物理知识,求电场对粒子的冲量大小I

查看答案和解析>>

科目:高中物理 来源:2012-2013学年北京市西城区高三上学期期末考试物理试卷(解析版) 题型:计算题

如图1所示,在x轴上0到d范围内存在电场(图中未画出),x轴上各点的电场沿着x轴正方向,并且电场强度大小Ex的分布如图2所示;在x轴上d到2d范围内存在垂直纸面向里的匀强磁场,磁感应强度大小为B。一质量为m,电量为的粒子沿x轴正方向以某一初速度从O点进入电场,最终粒子恰从坐标为(2d)的P点离开磁场。不计粒子重力。

(1)求在x=0.5d处,粒子的加速度大小a

(2)求粒子在磁场中运动时间t

(3)类比是一种常用的研究方法。对于直线运动,教科书中讲解了由v-t图像求位移的方法。请你借鉴此方法,并结合其他物理知识,求电场对粒子的冲量大小I

 

查看答案和解析>>

科目:高中物理 来源:2012-2013学年北京市西城区高三(上)期末物理试卷(解析版) 题型:解答题

如图1所示,在x轴上0到d范围内存在电场(图中未画出),x轴上各点的电场沿着x轴正方向,并且电场强度大小E随x的分布如图2所示;在x轴上d到2d范围内存在垂直纸面向里的匀强磁场,磁感应强度大小为B.一质量为m,电量为+q粒子沿x轴正方向以一定速度从O点进入电场,最终粒子恰从坐标为(2d,)的P点离开磁场.不计粒子重力.
(1)求在x=0.5d处,粒子的加速度大小a;
(2)求粒子在磁场中的运动时间t;
(3)类比是一种常用的研究方法.对于直线运动,教科书中讲解了由v-t图象求位移的方法.请你借鉴此方法,并结合其他物理知识,求电场对粒子的冲量大小I.

查看答案和解析>>

同步练习册答案