精英家教网 > 高中物理 > 题目详情
如图,有一水平传送带以2m/s的速度匀速运动,现将一物体轻轻放在传送带的左端上,若物体与传送带间的动摩擦因数为0.5,已知传送带左、右端间的距离为10m,求传送带将该物体传送到传送带的右端所需时间。(g取10m/s2

解:物体置于传动带左端时,先做加速直线运动,受力分析如图所示(“略”),由牛顿第二定律得:
 
代入数据得:
当物体加速到速度等于传送带速度v=2m/s时
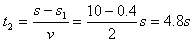
运动的时间
运动的位移
则物体接着做匀速直线运动,匀速直线运动所用时间:
物体传送到传送带的右端所需时间
练习册系列答案
相关习题

科目:高中物理 来源: 题型:

如图,有一水平传送带以2m/s的速度匀速运动,现将一物体轻轻放在传送带的左端上,若物体与传送带间的动摩擦因数为0.5,已知传送带左、右端间的距离为10m.
(1)求传送带将该物体传送到传送带的右端所需时间?
(2)如果提高传送带的运行速率,物体能较快地传送到B处.要让物体以最短的时间从A处传送到B处,说明并计算传送带的运行速率至少应为多大?(g取10m/s2

查看答案和解析>>

科目:高中物理 来源: 题型:

如图,有一水平传送带以2m/s的速度匀速运动,现将一物体轻轻放在传送带的左端上,若物体与传送带间的动摩擦因数为0.5,已知传送带左、右端间的距离为10m,求传送带将该物体传送到传送带的右端所需时间.(g取10m/s2

查看答案和解析>>

科目:高中物理 来源: 题型:

如图,有一水平传送带以2m/s的速度匀速运动,现将一物体轻轻放在传送带上,若物体与传送带间的动摩擦因数为0.5,则传送带将该物体传送10m的距离所需时间为多少?(g=10m/s2

查看答案和解析>>

科目:高中物理 来源:2010-2011学年山东省济南外国语学校高一入学检测物理试卷 题型:计算题

)如图,有一水平传送带以2m/s的速度匀速运动,现将一物体轻轻放在传送带的左端上,若物体与传送带间的动摩擦因数为0.5,已知传送带左、右端间的距离为10m,求传送带将该物体传送到传送带的右端所需时间。(g取10m/s2)

查看答案和解析>>

科目:高中物理 来源:2014届度黑龙江龙东地区高一第一学期高中教学联合体期末考试物理卷 题型:计算题

如图,有一水平传送带以2m/s的速度匀速运动,现将一物体轻轻放在传送带的左端上,已知物体与传送带间的动摩擦因数为0.5,传送带左、右端间的距离为10m,求传送带将该物体传送到传送带的右端所需时间。(g取10 m/s2 )

 

查看答案和解析>>

同步练习册答案