精英家教网 > 高中物理 > 题目详情
如图所示,小球由静止开始沿光滑轨道滑下,接着水平抛出,小球抛出后落在斜面上。已知斜面的倾角为θ,斜面底端在抛出点正下方,斜面顶端与抛出点在同一水平面上,斜面长度为L,斜面上M、N两点将斜面长度等分为3段,小球可以看作质点,空气阻力不计。为使小球能落在M点以上,小球开始时释放的位置相对于抛出点的高度h应满足什么条件?
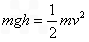
解:小球沿轨道滑下,由动能定理得

小球离开桌面后做平抛运动,若恰好打在M点,则


解得
故要使小球落在M点以上,则h应满足的条件为
练习册系列答案
相关习题

科目:高中物理 来源: 题型:

如图所示,小球由静止开始沿光滑轨道滑下,并沿水平方向抛出,小球抛出后落在斜面上.已知斜面的倾角为θ,斜面上与小球抛出点在同一水平面上,斜面长度为L,斜面上M、N两点将斜面长度等分为3段.小球可以看作质点,空气阻力不计.为使小球能落在M点以上,释放小球的位置相对于抛出点的高度h应满足什么条件?

查看答案和解析>>

科目:高中物理 来源: 题型:

在一根足够长的竖直绝缘杆上,套着一个质量为m、带电量为-q的小球,球与杆之间的动摩擦因数为μ.场强为E的匀强电场和磁感应强度为B的匀强磁场方向如图所示,小球由静止开始下落.小球开始下落时的加速度为
g-
μEq
m
g-
μEq
m
,小球运动的最大加速度为
g
g
,小球运动的最大速度为
mg
μBq
+
E
B
mg
μBq
+
E
B

查看答案和解析>>

科目:高中物理 来源: 题型:

(10分)如图所示,在一根足够长的竖直绝缘杆上,套着一个质量为m、带电量为-q的小球,球与杆之间的动摩擦因数为μ。场强为E的匀强电场和磁感应强度为B的匀强磁场方向如图所示,小球由静止开始下落。求:

   

(1)小球开始下落时的加速度;

(2)小球的速度多大时,有最大加速度,它们的值是多少?

(3)小球运动的最大速度为多少?

查看答案和解析>>

科目:高中物理 来源: 题型:

如图所示,小球由静止开始沿光滑轨道滑下,接着水平抛出。小球抛出后落在斜面上。已知斜面的倾角为θ,斜面底端在抛出点正下方,斜面顶端与抛出点在同一水平面上,斜面长度为L,斜面上M、N两点将斜面长度等分为3段,小球可以看作质点,空气阻力不计。为使小球能落在M点以上,小球开始时释放的位置相对于抛出点的高度h应满足什么条件?

查看答案和解析>>

科目:高中物理 来源:2010-2011学年黑龙江省等四校高三第一次高考模拟联考(理综)物理部分 题型:计算题

如图所示,小球由静止开始沿光滑轨道滑下,接着水平抛出。小球抛出后落在斜面上。已知斜面的倾角为θ,斜面底端在抛出点正下方,斜面顶端与抛出点在同一水平面上,斜面长度为L,斜面上M、N两点将斜面长度等分为3段,小球可以看作质点,空气阻力不计。为使小球能落在M点以上,小球开始时释放的位置相对于抛出点的高度h应满足什么条件?

 

查看答案和解析>>

同步练习册答案