精英家教网 > 高中物理 > 题目详情
如图所示,水平放置的弹簧左端固定,小物块P(可视为质点)置于水平桌面上的A点,并与弹簧右端接触,此时弹簧处于原长.现用水平向左的推力将P缓慢地推至B点,此时弹簧的弹性势能为EP=21J.撤去推力后,P沿桌面滑上一个停在光滑水平地面上的长木板Q上,已知P、Q的质量分别为m=2kg、M=4kg,A、B间的距离Ll=4m,A距桌子边缘C的距离L2=2m,P与桌面及P与Q间的动摩擦因数都为μ=0.1,g取10m/s2,求:
(1)要使P在长木板Q上不滑出去,长木板至少多长?
(2)若长木板的长度为2.25m,则P滑离木板时,P和Q的速度各为多大?

【答案】分析:(1)根据功能关系求出物体到达C点时的速度大小,当物体滑上木板时,木板加速运动,物体减速运动,当二者速度相同时,一起向前运动,根据过程中系统水平方向动量守恒和能量守恒可解出木板长度.
(2)根据木板和物体作用过程中动量守恒和功能关系可求出结果.
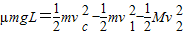
解答:解:(1)小物块从B点运动到C点的过程中,根据能量守恒定律得:

解得:
若小物块滑到木板右端时与长木板具有共同速度,设所对应的长木板具有最小的长度为L,根据动量守恒和能量守恒定律:
mvc=(m+M)v

得:v=1m/s,Lm=3m
故要使P在长木板Q上不滑出去,长木板至少为3m.
(2)设小物块滑离木板时,它们的速度分别为v1和v2,根据动量守恒和能量守恒定律:
mvc=mv1+Mv2

得:v1=2m/s,v2=0.5m/s,
故小物块滑离木板时,它们的速度分别为v1=2m/s,v2=0.5m/s.
点评:从能量和动量守恒的观点解答问题是高中阶段必须掌握的思想方法之一,要在平时训练中加强练习,不断提高解题能力.
练习册系列答案
相关习题

科目:高中物理 来源: 题型:

如图所示,水平放置的平行金属板A、B间距为d,带电粒子的电荷量为q,质量为m,粒子以速度v从两极板中央处水平飞入两极板间,当两板上不加电压时,粒子恰从下板的边缘飞出.现给AB加上一电压,则粒子恰好从上极板边缘飞出求:(1)两极板间所加电压U;(2)金属板的长度L.

查看答案和解析>>

科目:高中物理 来源: 题型:

如图所示,水平放置的矩形线圈abcd的面积为S,处于竖直向下的磁感应强度为B的匀强磁场内,则穿过矩形线圈的磁通量是
BS
BS
,当线圈绕ab边转过90°时,穿过它的磁通量为
0
0

查看答案和解析>>

科目:高中物理 来源: 题型:

精英家教网如图所示,水平放置的白色的传送带以速度v=6m/s向右匀速运行,现将一小煤块轻轻地放在传送带A端,物体与传送带间的动摩擦因数μ=0.1,若A端与B端相距30m,则(g=10m/s2)(  )
A、小煤块先作匀加速直线运动,后作匀速直线运动B、小煤块一直作匀加速直线运动C、全过程中,小煤块先受到向右的滑动摩擦力,后不受摩擦力作用D、全过程中,小煤块先受到向右的滑动摩擦力,后受到向右的静摩擦力作用

查看答案和解析>>

科目:高中物理 来源: 题型:

精英家教网如图所示,水平放置的两块长直平行金属板a、b相距d=0.10m,a、b间的电场强度为E=5.0×105N/C,b板下方整个空间存在着磁感应强度大小为B=6.0T、方向垂直纸面向里的匀强磁场.今有一质量为m=4.8×10-25kg、电荷量为q=1.6×10?18C的带正电的粒子(不计重力),从贴近a板的左端以υ0=1.0×106m/s的初速度水平射入匀强电场,刚好从狭缝P穿过b板而垂直进入匀强磁场,最后粒子回到边界b的Q(图中未标出)处.试求
(1)粒子穿过狭缝P时的速度υ及其与b板的夹角θ.
(2)P、Q之间的距离L.

查看答案和解析>>

科目:高中物理 来源: 题型:

精英家教网如图所示,水平放置的平行板电容器,原来AB两板不带电,B极板接地,它的极板长L=0.1m,两板间距离d=0.4×10-2m,现有一微粒质量m=2.0×10-6kg,带电量q=+1.0×10-8C,以一定初速度从两板中央平行于极板射入,由于重力作用微粒恰好能落到A板上中点O处,不反弹.忽略平行板电容器的边缘效应,取g=10m/s2.试求:
(1)带电粒子入射初速度的大小;
(2)现使电容器带上电荷,使带电微粒能从平行板电容器的右侧射出,且不碰板.则带电后A板的电势应满足什么条件?

查看答案和解析>>

同步练习册答案