精英家教网 > 高中物理 > 题目详情
如图所示,传送带与地面倾角,A→B长度为L=16m,传送带以v0=10m/s的速率逆时针转动,在传送带上端A无初速度地释放一个质量为0.5kg的物体,它与传送带之间的动摩擦因数为0.5。求:
(1)物体在A处时的加速度;
(2)物体在B处时的加速度;
(3)物体从A运动到B需时间是多少?
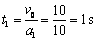
解:(1),得:a1=10 m/s2
(2),得:a2=2 m/s2
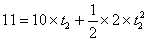
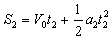
(3)

s2=L-s1=11m
,即
解得:t2=1 s
∴ t=t1+t2=2 s
练习册系列答案
相关习题

科目:高中物理 来源: 题型:

如图所示,传送带与地面的倾角θ,传送带以v匀速运动,在传送带底端无初速地放置一个质量为m的物体,当物体上升高度h时,物体已经相对传动带静止,在这个过程中分析正确的是(  )

查看答案和解析>>

科目:高中物理 来源: 题型:

如图所示,传送带与地面的倾角θ=37°,从A端到B端的长度为29m,传送带以v0=10m/s的速度沿逆时针方向转动.在传送带上端A处无初速地放置一个质量为0.5kg的物体,它与传送带之间的动摩擦因数为μ=0.5,求物体从A端运动到B端所需的时间是多少?(sin37°=0.6,cos37°=0.8)

查看答案和解析>>

科目:高中物理 来源:2012-2013学年陕西省宝鸡中学高一上学期期末考试物理试卷(带解析) 题型:计算题

如图所示,传送带与地面的倾角θ=37°,从A端到B端的长度为29m,传送带以v0=10m/s的速度沿逆时针方向转动。在传送带上端A处无初速地放置一个质量为0.5kg的物体,它与传送带之间的动摩擦因数为μ=0.5,求物体从A端运动到B端所需的时间是多少?(sin37°=0.6,cos37°=0.8)                  

查看答案和解析>>

科目:高中物理 来源:2012年粤教版高中物理必修1 4.5牛顿第二定律的应用练习卷(解析版) 题型:计算题

如图所示,传送带与地面的倾角θ=37°,从A端到B端长度为L=16 m,传送带以v=10 m/s的速度沿逆时针方向转动.在传送带上端A处无初速地放置一个质量为0.5 kg的物体,它与传送带之间的动摩擦因数μ=0.5,求物体从A端运动到B端所需的时间是多少?

(sin37°=0.6,cos37°=0.8,取g=10 m/s2

 

查看答案和解析>>

科目:高中物理 来源:2012年高一期末考试物理卷 题型:计算题

如图所示,传送带与地面的倾角θ=37,从A到B的长度为16m,传送带以V0=10m/s的速度逆时针转动。在传送带上端无初速的放一个质量为0.5㎏的物体,它与传送带之间的动摩擦因数μ=0.5,求物体从A运动到B所需的时间是多少?(sin37=0.6,cos37=0.8) 

 

查看答案和解析>>

同步练习册答案