2009ÄêÊÇÖлªÈËÃñ¹²ºÍ¹ú³ÉÁ¢60ÖÜÄ꣬ijÖÐѧÎïÀíÐËȤС×éÓÿÕÐÄ͸Ã÷ËÜÁϹÜÖÆ×÷ÁËÈçͼËùʾµÄÊúÖ±¡°60¡±ÔìÐÍ¡£Á½¸ö¡°0¡±×ÖÐ͵İ뾶¾ùΪR¡£ÈÃÒ»ÖÊÁ¿Îªm¡¢Ö±¾¶ÂÔСÓڹܾ¶µÄ¹â»¬Ð¡Çò´ÓÈë¿ÚA´¦ÉäÈ룬ÒÀ´Î¾­¹ýͼÖеÄB¡¢C¡¢DÈýµã£¬×îºó´ÓEµã·É³ö¡£ÒÑÖªBCÊÇ¡°0¡±×ÖÐ͵ÄÒ»ÌõÖ±¾¶£¬DµãÊǸÃÔìÐÍ×î×ó²àµÄÒ»µã£¬µ±µØµÄÖØÁ¦¼ÓËÙ¶ÈΪg£¬²»¼ÆÒ»ÇÐ×èÁ¦,ÔòСÇòÔÚÕû¸öÔ˶¯¹ý³ÌÖÐ £¨         £©

A.ÔÚB¡¢C¡¢DÈýµãÖУ¬¾àAµãÎ»ÒÆ×î´óµÄÊÇBµã£¬Â·³Ì×î´óµÄÊÇDµã

B. СÇò´ÓEµã·É³öºó½«×öÔȱäËÙÖ±ÏßÔ˶¯

C.ÔÚB¡¢C¡¢DÈýµãÖУ¬Ë²Ê±ËÙÂÊ×î´óµÄÊÇDµã£¬×îСµÄÊÇCµã

D. ÈôСÇòÔÚCµã¶Ô¹Ü±ÚµÄ×÷ÓÃÁ¦Ç¡ºÃΪÁ㣬ÔòÔÚBµãСÇò¶Ô¹Ü±ÚµÄѹÁ¦´óСΪ6mg

 

¡¾´ð°¸¡¿

D

¡¾½âÎö¡¿

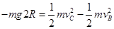
ÊÔÌâ·ÖÎö£ºÓÉÎ»ÒÆºÍ·³ÌµÄ¶¨Òå¿ÉÖª£º¾àAµãµÄÎ»ÒÆ×î´óµÄµãÊÇDµã£¬Â·³Ì×î´óµÄÊÇDµã£¬¹ÊÑ¡ÏîA´íÎó£»Ð¡Çò·É³öEµãʱ£¬ËÙ¶ÈбÏò×óÉÏ·½£¬ËùÊÜÖØÁ¦ÊúÖ±ÏòÏ£¬ËùÒÔСÇò×öÔȱäËÙÇúÏßÔ˶¯£¬¹ÊÑ¡ÏîB´íÎó£»ÓÉÓÚСÇò¹â»¬£¬ËùÒÔÔ˶¯¹ý³ÌÖÐÖ»ÓÐÖØÁ¦×ö¹¦£¬Óɶ¯Äܶ¨ÀíÖªÔÚBµãʱËÙÂÊ×î´ó£¬CµãËÙÂÊ×îС£¬¹ÊÑ¡ÏîC´íÎó£»ÈôÔÚCµãСÇò¶Ô¹Ü±ÚµÄѹÁ¦ÎªÁ㣬¼´ÖØÁ¦Ç¡ºÃÌṩÏòÐÄÁ¦£¬ËùÒÔÓУº£¬½âµÃ£º£¬´ÓBµ½C£¬Óɶ¯Äܶ¨Àí¿ÉÖª£º£¬½âµÃ£º£»ÔÚBµã£¬ÓÉÏòÐÄÁ¦¹«Ê½¿ÉÖª£º£¬½âµÃ£º£¬ÓÉÅ£¶ÙµÚÈý¶¨ÂÉ¿É֪ѡÏîDÕýÈ·£®

¿¼µã£º±¾ÌâÖ÷Òª¿¼²é¶¯Äܶ¨ÀíºÍÏòÐÄÁ¦¹«Ê½ÔÚÔ²ÖÜÔ˶¯ÖеÄÓ¦Óã¬Æä´Î¿¼²éÎ»ÒÆºÍ·³ÌµÄÇø±ð¼°ÎïÌåÔ˶¯ÐÔÖʵÄÅжϣ®

 

Á·Ï°²áϵÁдð°¸
Ïà¹ØÏ°Ìâ

¿ÆÄ¿£º¸ßÖÐÎïÀí À´Ô´£º ÌâÐÍ£º

£¨2010?µÂÖÝһ죩2009ÄêÊÇÖлªÈËÃñ¹²ºÍ¹ú³ÉÁ¢60ÖÜÄ꣬ÄÏĪÖÐѧÎïÀíÐËȤС×éÓÿÕÐÄ͸Ã÷ËÜÁϹÜÖÆ×÷ÁËÈçͼËùʾµÄÊúÖ±¡°60¡±ÔìÐÍ£®Á½¸ö¡°0¡±×ÖÐ͵İ뾶¾ùΪR£®ÈÃÒ»ÖÊÁ¿Îªm¡¢Ö±¾¶ÂÔСÓڹܾ¶µÄ¹â»¬Ð¡Çò´ÓÈë¿ÚA´¦ÉäÈ룬ÒÀ´Î¾­¹ýͼÖеÄB¡¢C¡¢DÈýµã£¬×îºó´ÓEµã·É³ö£®ÒÑÖªBCÊÇ¡°0¡±×ÖÐ͵ÄÒ»ÌõÖ±¾¶£¬DµãÊǸÃÔìÐÍ×î×ó²àµÄÒ»µã£¬µ±µØµÄÖØÁ¦¼ÓËÙ¶ÈΪg£¬²»¼ÆÒ»ÇÐ×èÁ¦£¬ÔòСÇòÔÚÕû¸öÔ˶¯¹ý³ÌÖУ¨¡¡¡¡£©

²é¿´´ð°¸ºÍ½âÎö>>

¿ÆÄ¿£º¸ßÖÐÎïÀí À´Ô´£º ÌâÐÍ£º

¾«Ó¢¼Ò½ÌÍø2009ÄêÊÇÖлªÈËÃñ¹²ºÍ¹ú³ÉÁ¢60ÖÜÄ꣬ijÖÐѧÎïÀíÐËȤС×éÓÿÕÐÄ͸Ã÷ËÜÁϹÜÖÆ×÷ÁËÈçͼËùʾµÄÊúÖ±¡°60¡±ÔìÐÍ£®Á½¸ö¡°0¡±×ÖÐ͵İ뾶¾ùΪR£®ÈÃÒ»ÖÊÁ¿Îªm¡¢Ö±¾¶ÂÔСÓڹܾ¶µÄ¹â»¬Ð¡Çò´ÓÈë¿ÚA´¦ÉäÈ룬ÒÀ´Î¾­¹ýͼÖеÄB¡¢C¡¢DÈýµã£¬×îºó´ÓEµã·É³ö£®ÒÑÖªBCÊÇ¡°0¡±×ÖÐ͵ÄÒ»ÌõÖ±¾¶£¬DµãÊǸÃÔìÐÍ×î×ó²àµÄÒ»µã£¬µ±µØµÄÖØÁ¦¼ÓËÙ¶ÈΪg£¬²»¼ÆÒ»ÇÐ×èÁ¦£¬ÔòСÇòÔÚÕû¸öÔ˶¯¹ý³ÌÖУ¨¡¡¡¡£©
A¡¢ÔÚB¡¢C¡¢DÈýµãÖУ¬¾àAµãÎ»ÒÆ×î´óµÄÊÇBµã£¬Â·³Ì×î´óµÄÊÇDµãB¡¢Ð¡Çò´ÓEµã·É³öºó½«×öÔȱäËÙÖ±ÏßÔ˶¯C¡¢ÔÚB¡¢C¡¢DÈýµãÖУ¬Ë²Ê±ËÙÂÊ×î´óµÄÊÇDµã£¬×îСµÄÊÇCµãD¡¢ÈôСÇòÔÚCµã¶Ô¹Ü±ÚµÄ×÷ÓÃÁ¦Ç¡ºÃΪÁ㣬ÔòÔÚBµãСÇò¶Ô¹Ü±ÚµÄѹÁ¦´óСΪ6mg

²é¿´´ð°¸ºÍ½âÎö>>

¿ÆÄ¿£º¸ßÖÐÎïÀí À´Ô´£º2013-2014ѧÄ긣½¨Ê¡¸ßÈýÉÏÆÚÖп¼ÊÔÎïÀíÊÔ¾í£¨ÊµÑé°à£©£¨½âÎö°æ£© ÌâÐÍ£ºÑ¡ÔñÌâ

2009ÄêÊÇÖлªÈËÃñ¹²ºÍ¹ú³ÉÁ¢60ÖÜÄ꣬ijÖÐѧÎïÀíÐËȤС×éÓÿÕÐÄ͸Ã÷ËÜÁϹÜÖÆ×÷ÁËÈçͼËùʾµÄÊúÖ±¡°60¡±ÔìÐÍ¡£Á½¸ö¡°0¡±×ÖÐ͵İ뾶¾ùΪR¡£ÈÃÒ»ÖÊÁ¿Îªm¡¢Ö±¾¶ÂÔСÓڹܾ¶µÄ¹â»¬Ð¡Çò´ÓÈë¿ÚA´¦ÉäÈ룬ÒÀ´Î¾­¹ýͼÖеÄB¡¢C¡¢DÈýµã£¬×îºó´ÓEµã·É³ö¡£ÒÑÖªBCÊÇ¡°0¡±×ÖÐ͵ÄÒ»ÌõÖ±¾¶£¬DµãÊǸÃÔìÐÍ×î×ó²àµÄÒ»µã£¬µ±µØµÄÖØÁ¦¼ÓËÙ¶ÈΪg£¬²»¼ÆÒ»ÇÐ×èÁ¦,ÔòСÇòÔÚÕû¸öÔ˶¯¹ý³ÌÖÐ £¨         £©

A.ÔÚB¡¢C¡¢DÈýµãÖУ¬¾àAµãÎ»ÒÆ×î´óµÄÊÇBµã£¬Â·³Ì×î´óµÄÊÇDµã

B. СÇò´ÓEµã·É³öºó½«×öÔȱäËÙÖ±ÏßÔ˶¯

C.ÔÚB¡¢C¡¢DÈýµãÖУ¬Ë²Ê±ËÙÂÊ×î´óµÄÊÇDµã£¬×îСµÄÊÇCµã

D. ÈôСÇòÔÚCµã¶Ô¹Ü±ÚµÄ×÷ÓÃÁ¦Ç¡ºÃΪÁ㣬ÔòÔÚBµãСÇò¶Ô¹Ü±ÚµÄѹÁ¦´óСΪ6mg

 

²é¿´´ð°¸ºÍ½âÎö>>

¿ÆÄ¿£º¸ßÖÐÎïÀí À´Ô´£º2013-2014ѧÄ긣½¨Ê¡¸ßÈýÉÏÆÚÖп¼ÊÔÎïÀíÊÔ¾í£¨ÊµÑé°à£©£¨½âÎö°æ£© ÌâÐÍ£ºÑ¡ÔñÌâ

2009ÄêÊÇÖлªÈËÃñ¹²ºÍ¹ú³ÉÁ¢60ÖÜÄ꣬ijÖÐѧÎïÀíÐËȤС×éÓÿÕÐÄ͸Ã÷ËÜÁϹÜÖÆ×÷ÁËÈçͼËùʾµÄÊúÖ±¡°60¡±ÔìÐÍ¡£Á½¸ö¡°0¡±×ÖÐ͵İ뾶¾ùΪR¡£ÈÃÒ»ÖÊÁ¿Îªm¡¢Ö±¾¶ÂÔСÓڹܾ¶µÄ¹â»¬Ð¡Çò´ÓÈë¿ÚA´¦ÉäÈ룬ÒÀ´Î¾­¹ýͼÖеÄB¡¢C¡¢DÈýµã£¬×îºó´ÓEµã·É³ö¡£ÒÑÖªBCÊÇ¡°0¡±×ÖÐ͵ÄÒ»ÌõÖ±¾¶£¬DµãÊǸÃÔìÐÍ×î×ó²àµÄÒ»µã£¬µ±µØµÄÖØÁ¦¼ÓËÙ¶ÈΪg£¬²»¼ÆÒ»ÇÐ×èÁ¦,ÔòСÇòÔÚÕû¸öÔ˶¯¹ý³ÌÖÐ £¨         £©

A.ÔÚB¡¢C¡¢DÈýµãÖУ¬¾àAµãÎ»ÒÆ×î´óµÄÊÇBµã£¬Â·³Ì×î´óµÄÊÇDµã

B. СÇò´ÓEµã·É³öºó½«×öÔȱäËÙÖ±ÏßÔ˶¯

C.ÔÚB¡¢C¡¢DÈýµãÖУ¬Ë²Ê±ËÙÂÊ×î´óµÄÊÇDµã£¬×îСµÄÊÇCµã

D. ÈôСÇòÔÚCµã¶Ô¹Ü±ÚµÄ×÷ÓÃÁ¦Ç¡ºÃΪÁ㣬ÔòÔÚBµãСÇò¶Ô¹Ü±ÚµÄѹÁ¦´óСΪ6mg

 

²é¿´´ð°¸ºÍ½âÎö>>

¿ÆÄ¿£º¸ßÖÐÎïÀí À´Ô´£º2012½ì¶ÈÉÂÎ÷Ê¡¸ßÈýµÚһѧÆÚÆÚÄ©¿¼ÊÔÎïÀí¾í ÌâÐÍ£ºÑ¡ÔñÌâ

2009ÄêÊÇÖлªÈËÃñ¹²ºÍ¹ú³ÉÁ¢60ÖÜÄ꣬ijÖÐѧÎïÀíÐËȤС×éÓÿÕÐÄ͸Ã÷ËÜÁϹÜÖÆ×÷ÁËÈçͼËùʾµÄÊúÖ±¡°60¡±ÔìÐÍ¡£Á½¸ö¡°0¡±×ÖÐ͵İ뾶¾ùΪR¡£ÈÃÒ»ÖÊÁ¿Îªm¡¢Ö±¾¶ÂÔСÓڹܾ¶µÄ¹â»¬Ð¡Çò´ÓÈë¿ÚA´¦ÉäÈ룬ÒÀ´Î¾­¹ýͼÖеÄB¡¢C¡¢DÈýµã£¬×îºó´ÓEµã·É³ö¡£ÒÑÖªBCÊÇ¡°0¡±×ÖÐ͵ÄÒ»ÌõÖ±¾¶£¬DµãÊǸÃÔìÐÍ×î×ó²àµÄÒ»µã£¬µ±µØµÄÖØÁ¦¼ÓËÙ¶ÈΪg£¬²»¼ÆÒ»ÇÐ×èÁ¦,ÔòСÇòÔÚÕû¸öÔ˶¯¹ý³ÌÖÐ (         )

 

A.ÔÚB¡¢C¡¢DÈýµãÖУ¬¾àAµãÎ»ÒÆ×î´óµÄÊÇBµã£¬Â·³Ì×î´óµÄÊÇDµã

B.ÈôСÇòÔÚCµã¶Ô¹Ü±ÚµÄ×÷ÓÃÁ¦Ç¡ºÃΪÁ㣬ÔòÔÚBµãСÇò¶Ô¹Ü±ÚµÄѹÁ¦´óСΪ6mg

C.ÔÚB¡¢C¡¢DÈýµãÖУ¬Ë²Ê±ËÙÂÊ×î´óµÄÊÇDµã£¬×îСµÄÊÇCµã

D.СÇò´ÓEµã·É³öºó½«×öÔȱäËÙÔ˶¯

 

²é¿´´ð°¸ºÍ½âÎö>>

ͬ²½Á·Ï°²á´ð°¸